🇳🇴 🇬🇧 🇩🇪 🇨🇿 🇫🇮

Meteor Pajalan yllä 2019-11-08 03:05:29 UTC

KML-tiedosto  |  Interaktiivinen kartta

Kartta näyttää meteorin suuntahavainnot. Vaaleammat viivat näyttävät suunnat havaintoasemilta meteorin ilmestyessä, ja tummemmat viivat näyttävät, missä se viimeksi nähtiin. Sininen nuoli näyttää meteorin näkyvän lennon.

static map
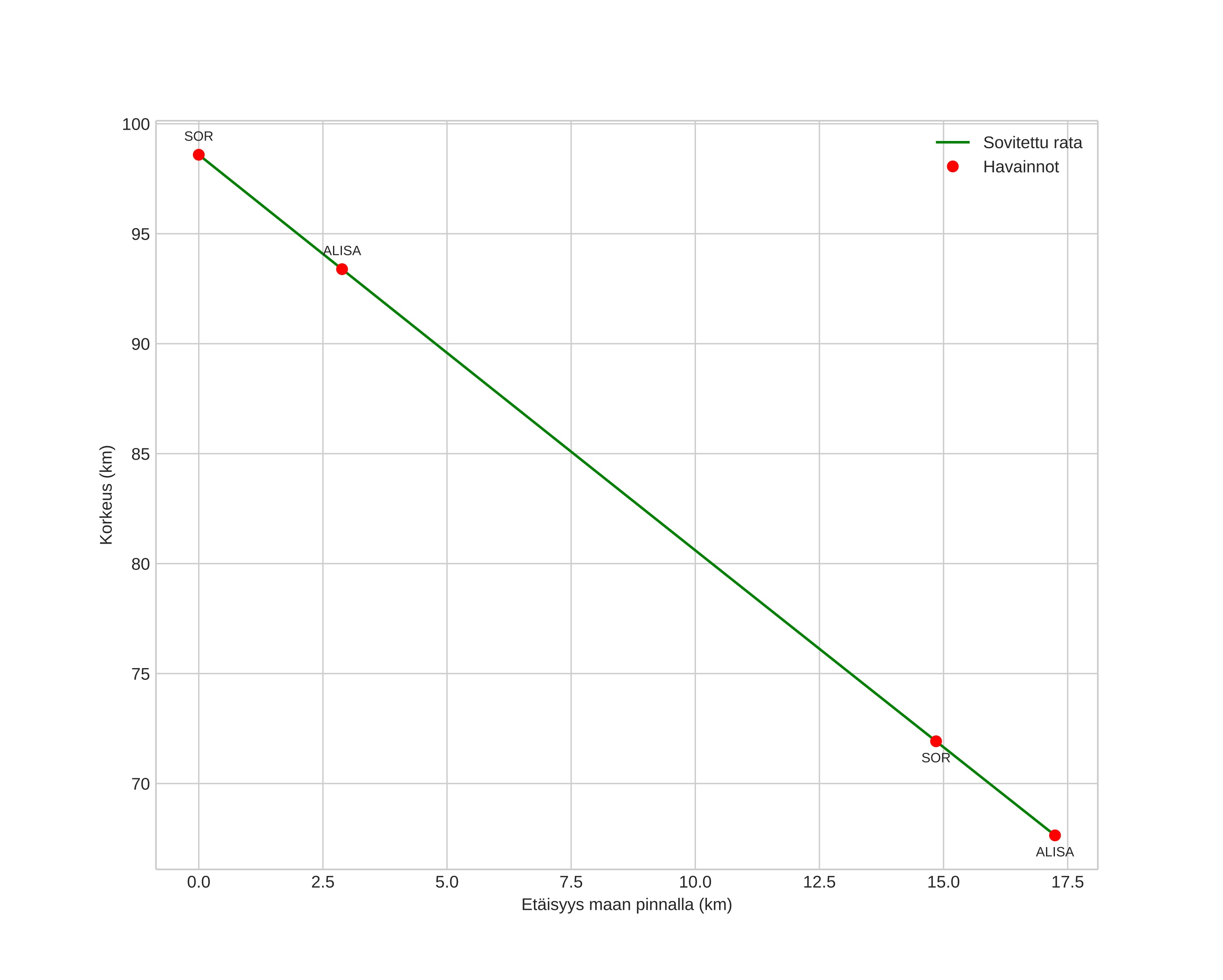
height profile
Meteorin ilmakehärata:
Alkukorkeus: 96,9 km
Loppukorkeus: 68,8 km
Alkupiste: 67,544N 22,965E
Loppupiste: 67,488N 22,602E
Suunta: 248,4°
Kallistuskulma: 59,4°
Tulonopeus: 43,9 km/s
Radiantin R,A,: 12:32 (188,2°)
Radiantin Dekl,: 60,0°
Meteoriparvi: Sporadinen
Meteoroidin rataelementit:
Perihelietäisyys: 0,948 AU
Eksentrisyys: 0,475
Inklinaatio: 78,9°
Nousevan solmun pituus: 225,1°
Perihelin argumentti: 150,0°
Keskianomalia: 9,7°
Epookki: 2019 NOV 08 03:05:29
orbit plot

Ei-interaktiivinen kuvaaja | Interaktiivinen kuvaaja

position vs time
speed and acceleration

Sorreisa (SOR) cam2


gnomonic
Videot:
• Gnomoninen
• Gnomoninen koordinaateilla
• Alkuperäinen
• Alkuperäinen koordinaateilla
Kuvat:
• Gnomoninen
• Gnomoninen koordinaateilla
• Gnomoninen merkinnöillä
• Alkuperäinen
• Alkuperäinen koordinaateilla
• Alkuperäinen maskilla
Tekstitiedostot:
• Havaintoraportti
• Observaatio
• Koordinaatit
• Virheilmoitukset
• Loki
Kirkkaus