🇳🇴 🇬🇧 🇩🇪 🇨🇿 🇫🇮

Meteor, poloha: Burfjord 2019-11-09 05:13:19 UTC

Soubor KML  |  Interaktivní mapa

Mapa zobrazuje dráhy meteoru. Světlejší čáry ukazují směry od pozorovacích stanic při objevení se meteoru a tmavší čáry, kde byl naposledy viděn. Modrá šipka značí viditelnou dráhu meteoru.

static map
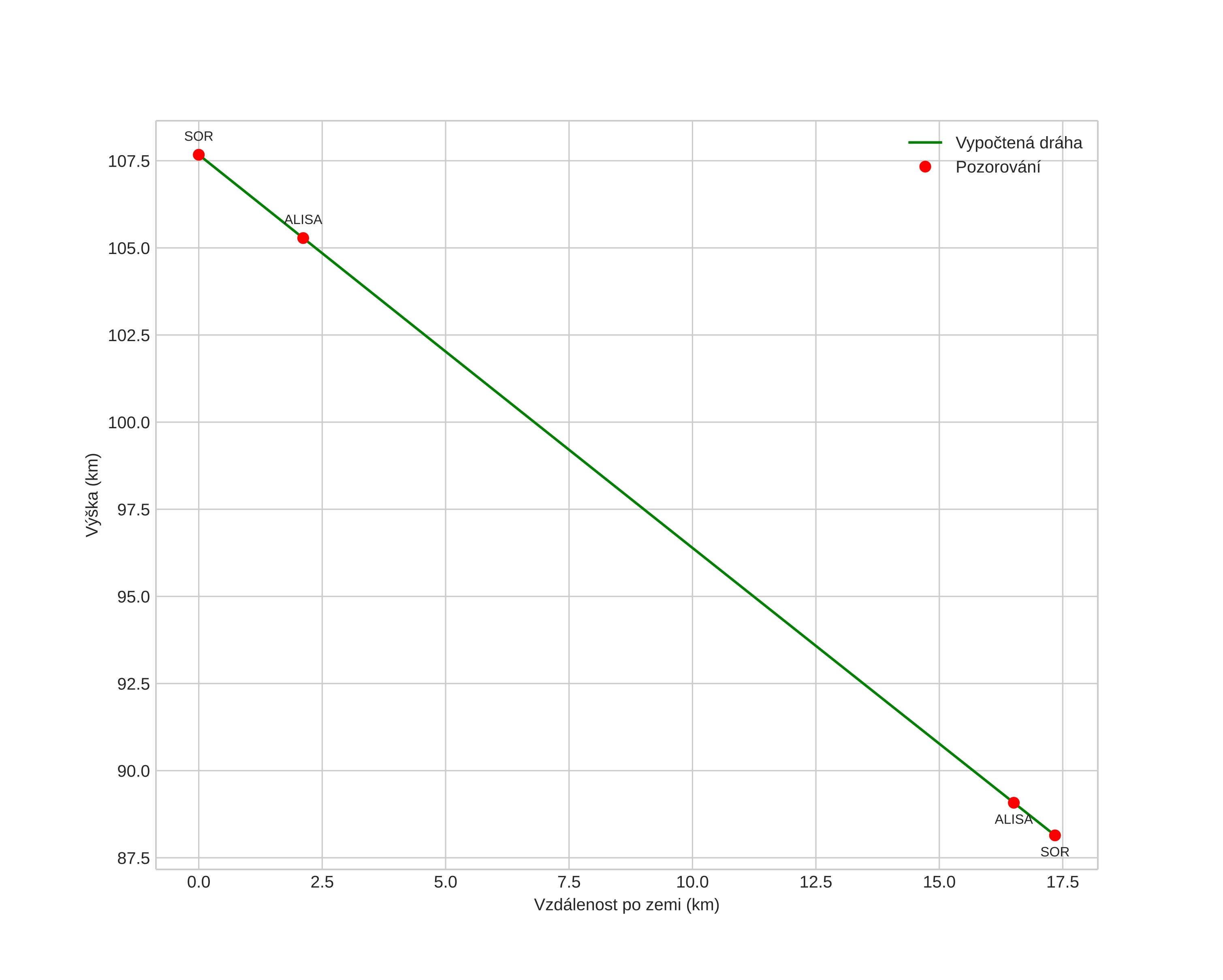
height profile
Atmosférická dráha meteoru:
Počáteční výška: 105,2 km
Konečná výška: 86,6 km
Počáteční poloha: 69,528N 22,199E
Konečná poloha: 69,616N 22,556E
Směr: 54,7°
Sklon: 47,7°
Vstupní rychlost: 65,0 km/s
Rektascenze radiantu: 07:06 (106,6°)
Deklinace radiantu: 33,4°
Meteorický roj: sporadický
Elementy dráhy meteoroidu:
Vzdálenost v periheliu: 0,376 AU
Excentricita: 1,020
Sklon dráhy: 152,7°
Délka vzestupného uzlu: 226,2°
Argument perihelia: 283,3°
Střední anomálie: -0,4°
Epocha: 2019 NOV 09 05:13:19
orbit plot

Neinteraktivní graf | Interaktivní graf

position vs time
speed and acceleration