🇳🇴 🇬🇧 🇩🇪 🇨🇿 🇫🇮

Meteor Burfjordin yllä 2019-11-09 05:13:19 UTC

KML-tiedosto  |  Interaktiivinen kartta

Kartta näyttää meteorin suuntahavainnot. Vaaleammat viivat näyttävät suunnat havaintoasemilta meteorin ilmestyessä, ja tummemmat viivat näyttävät, missä se viimeksi nähtiin. Sininen nuoli näyttää meteorin näkyvän lennon.

static map
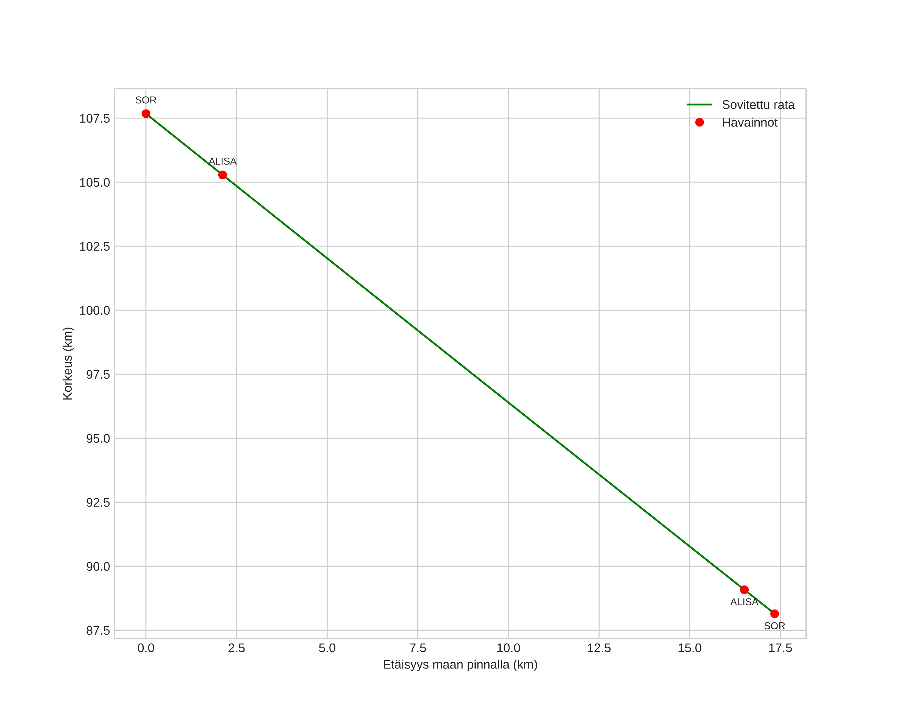
height profile
Meteorin ilmakehärata:
Alkukorkeus: 105,2 km
Loppukorkeus: 86,6 km
Alkupiste: 69,528N 22,199E
Loppupiste: 69,616N 22,556E
Suunta: 54,7°
Kallistuskulma: 47,7°
Tulonopeus: 65,0 km/s
Radiantin R,A,: 07:06 (106,6°)
Radiantin Dekl,: 33,4°
Meteoriparvi: Sporadinen
Meteoroidin rataelementit:
Perihelietäisyys: 0,376 AU
Eksentrisyys: 1,020
Inklinaatio: 152,7°
Nousevan solmun pituus: 226,2°
Perihelin argumentti: 283,3°
Keskianomalia: -0,4°
Epookki: 2019 NOV 09 05:13:19
orbit plot

Ei-interaktiivinen kuvaaja | Interaktiivinen kuvaaja

position vs time
speed and acceleration

Sorreisa (SOR) cam2


gnomonic
Videot:
• Gnomoninen
• Gnomoninen koordinaateilla
• Alkuperäinen
• Alkuperäinen koordinaateilla
Kuvat:
• Gnomoninen
• Gnomoninen koordinaateilla
• Gnomoninen merkinnöillä
• Alkuperäinen
• Alkuperäinen koordinaateilla
• Alkuperäinen maskilla
Tekstitiedostot:
• Havaintoraportti
• Observaatio
• Koordinaatit
• Virheilmoitukset
• Loki
Kirkkaus