🇳🇴 🇬🇧 🇩🇪 🇨🇿 🇫🇮

Meteor, poloha: Brøstadbotn 2019-11-13 16:29:57 UTC

Soubor KML  |  Interaktivní mapa

Mapa zobrazuje dráhy meteoru. Světlejší čáry ukazují směry od pozorovacích stanic při objevení se meteoru a tmavší čáry, kde byl naposledy viděn. Modrá šipka značí viditelnou dráhu meteoru.

static map
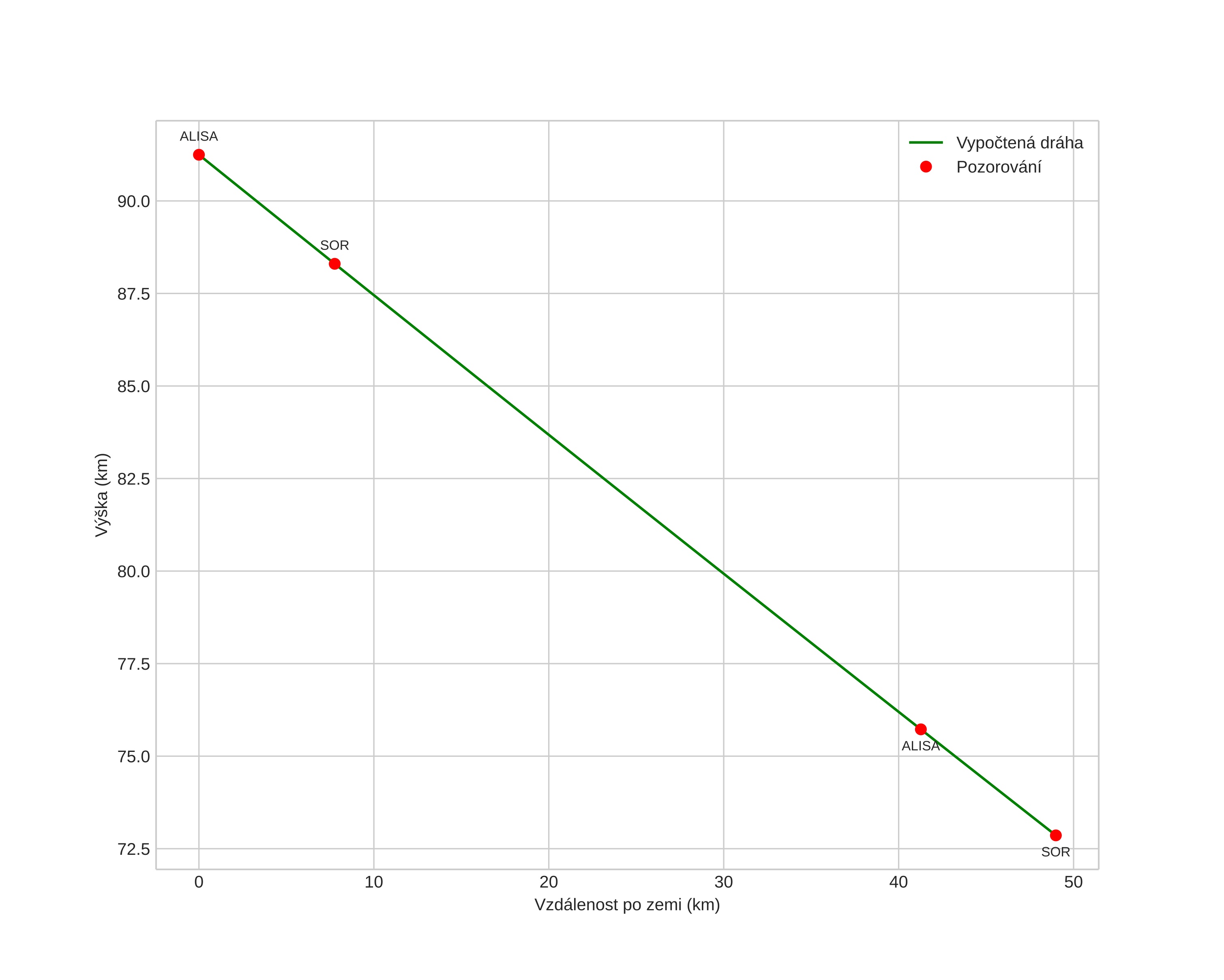
height profile
Atmosférická dráha meteoru:
Počáteční výška: 91,5 km
Konečná výška: 73,7 km
Počáteční poloha: 69,080N 18,781E
Konečná poloha: 68,947N 17,641E
Směr: 252,5°
Sklon: 20,5°
Vstupní rychlost: 29,5 km/s
Rektascenze radiantu: 03:54 (58,5°)
Deklinace radiantu: 22,5°
Meteorický roj: Severní Tauridy
Elementy dráhy meteoroidu:
Vzdálenost v periheliu: 0,386 AU
Excentricita: 0,815
Sklon dráhy: 2,3°
Délka vzestupného uzlu: 230,7°
Argument perihelia: 291,0°
Střední anomálie: 345,8°
Epocha: 2019 NOV 13 16:29:57
orbit plot

Neinteraktivní graf | Interaktivní graf

position vs time
speed and acceleration