🇳🇴 🇬🇧 🇩🇪 🇨🇿 🇫🇮

Meteor über Brøstadbotn 2019-11-13 16:29:57 UTC

KML-Datei  |  Interaktive Karte

Die Karte zeigt die Peilungen für den Meteor. Die helleren Linien zeigen die Richtungen von den Beobachtungsorten beim Erscheinen des Meteors, und die dunkleren Linien, wo er zuletzt gesehen wurde. Der blaue Pfeil zeigt die sichtbare Bahn des Meteors.

static map
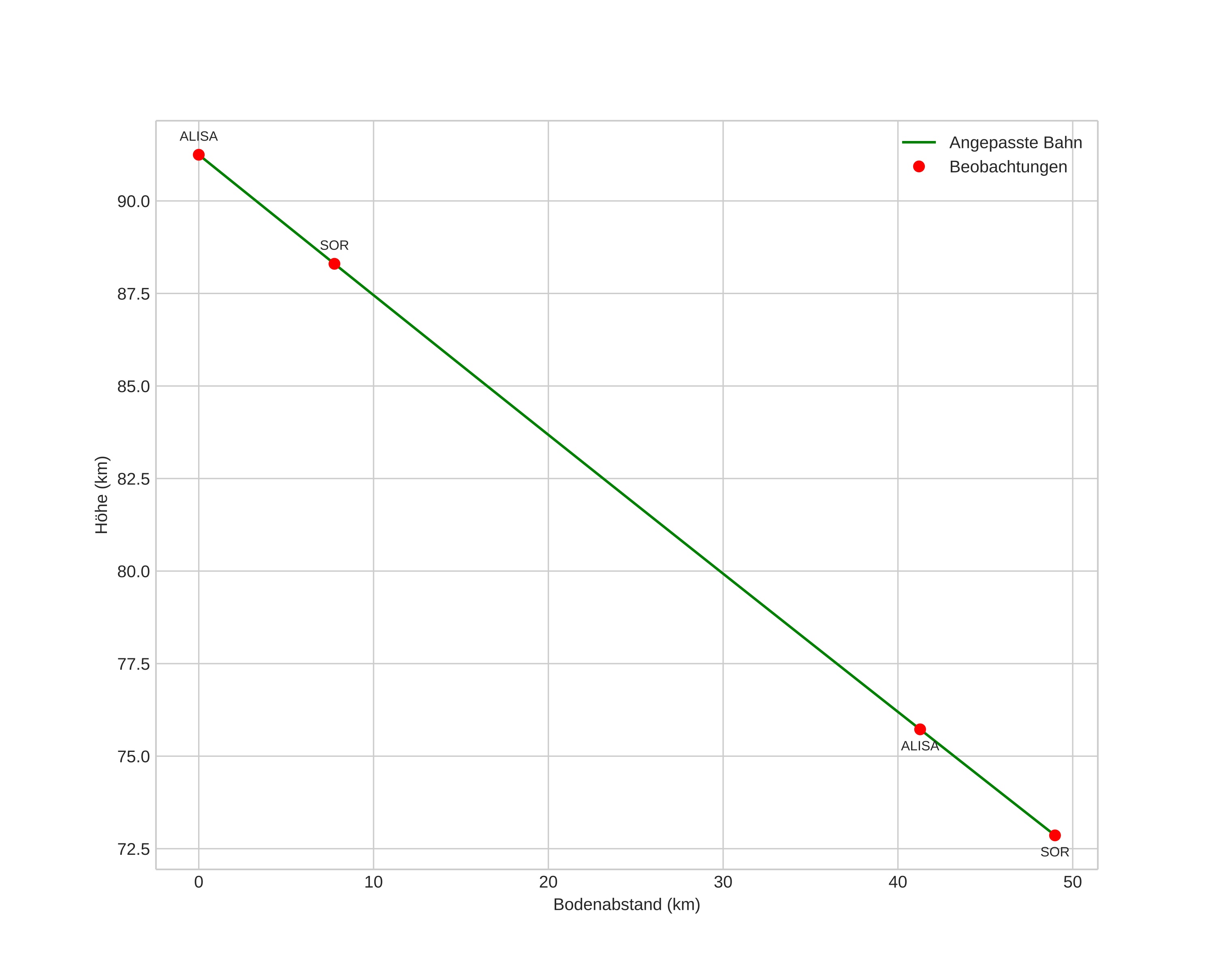
height profile
Atmosphärische Bahn des Meteors:
Anfangshöhe: 91,5 km
Endhöhe: 73,7 km
Startposition: 69,080N 18,781E
Endposition: 68,947N 17,641E
Richtung: 252,5°
Neigungswinkel: 20,5°
Eintrittsgeschwindigkeit: 29,5 km/s
Rektaszension des Radianten: 03:54 (58,5°)
Deklination des Radianten: 22,5°
Meteorstrom: Nördliche Tauriden
Bahnelemente des Meteoroiden:
Periheldistanz: 0,386 AU
Exzentrizität: 0,815
Inklination: 2,3°
Länge des aufsteigenden Knotens: 230,7°
Argument des Perihels: 291,0°
Mittlere Anomalie: 345,8°
Epoche: 2019 NOV 13 16:29:57
orbit plot

Nicht-interaktives Diagramm | Interaktives Diagramm

position vs time
speed and acceleration

Sorreisa (SOR) cam3


gnomonic
Videos
• Gnomonisch
• Gnomonisch mit Koordinaten
• Original
• Original mit Koordinaten
Bilder
• Gnomonisch
• Gnomonisch mit Koordinaten
• Gnomonisch mit Beschriftungen
• Original
• Original mit Koordinaten
• Original mit Maske
Textdateien
• Erkennung
• Beobachtung
• Koordinaten
• Fehlermeldungen
• Protokoll
Helligkeit