🇳🇴 🇬🇧 🇩🇪 🇨🇿 🇫🇮

Meteor, poloha: Myre 2019-11-18 00:26:22 UTC

Soubor KML  |  InteraktivnĂ­ mapa

Mapa zobrazuje dráhy meteoru. Světlejší čáry ukazují směry od pozorovacích stanic při objevení se meteoru a tmavší čáry, kde byl naposledy viděn. Modrá šipka značí viditelnou dráhu meteoru.

static map
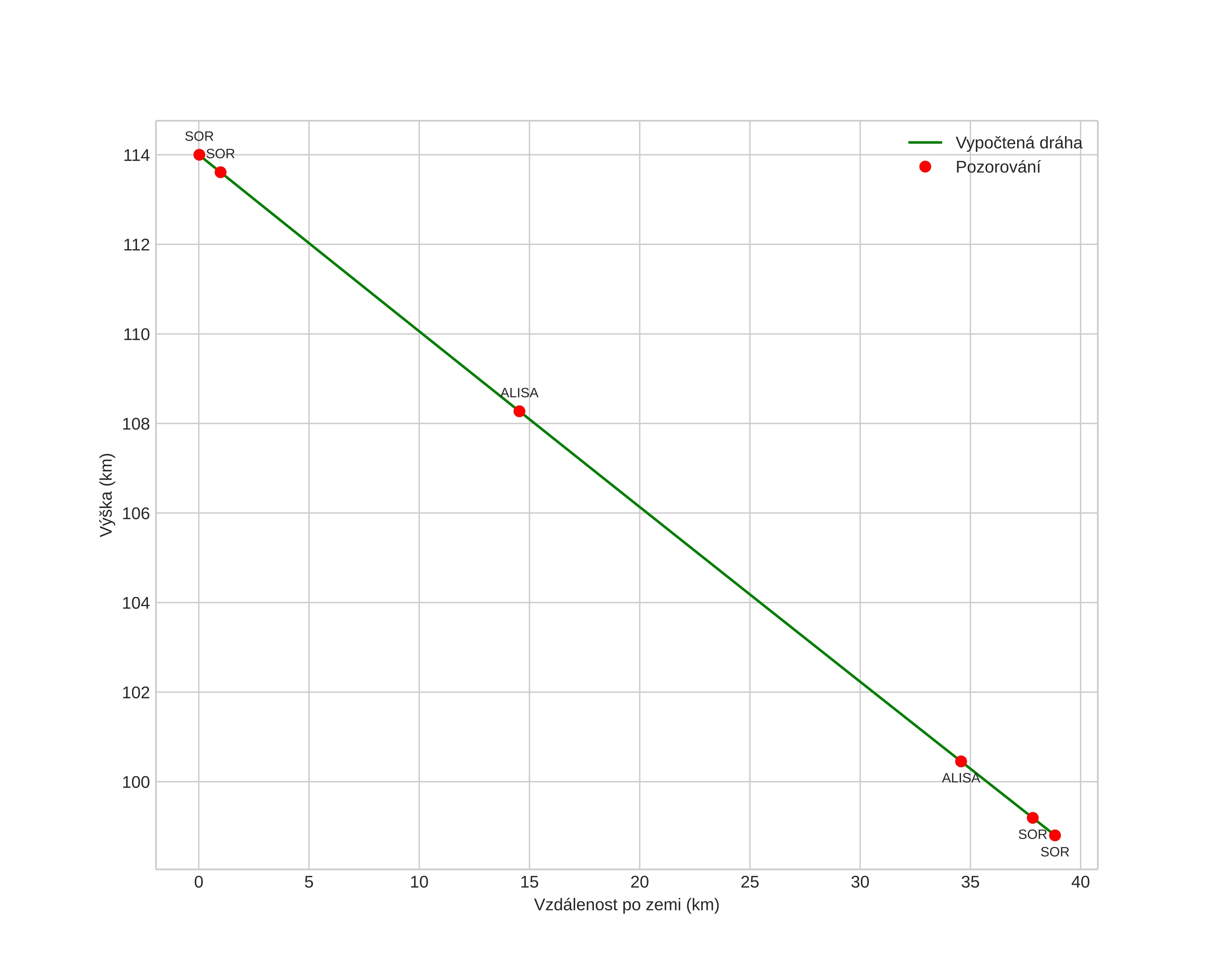
height profile
Atmosférická dráha meteoru:
Počáteční výška: 113,7 km
Konečná výška: 99,0 km
Počáteční poloha: 69,241N 16,464E
Konečná poloha: 69,279N 15,522E
Směr: 276,9°
Sklon: 21,5°
VstupnĂ­ rychlost: 73,0 km/s
Rektascenze radiantu: 10:21 (155,3°)
Deklinace radiantu: 17,3°
MeteorickĂ˝ roj: Leonidy
Elementy dráhy meteoroidu:
Vzdálenost v periheliu: 0,963 AU
Excentricita: 1,005
Sklon dráhy: 168,6°
Délka vzestupného uzlu: 235,1°
Argument perihelia: 161,6°
Střední anomálie: 0,0°
Epocha: 2019 NOV 18 00:26:22
orbit plot

NeinteraktivnĂ­ graf | InteraktivnĂ­ graf

position vs time
speed and acceleration