🇳🇴 🇬🇧 🇩🇪 🇨🇿 🇫🇮

Meteor über Myre 2019-11-18 00:26:22 UTC

KML-Datei  |  Interaktive Karte

Die Karte zeigt die Peilungen für den Meteor. Die helleren Linien zeigen die Richtungen von den Beobachtungsorten beim Erscheinen des Meteors, und die dunkleren Linien, wo er zuletzt gesehen wurde. Der blaue Pfeil zeigt die sichtbare Bahn des Meteors.

static map
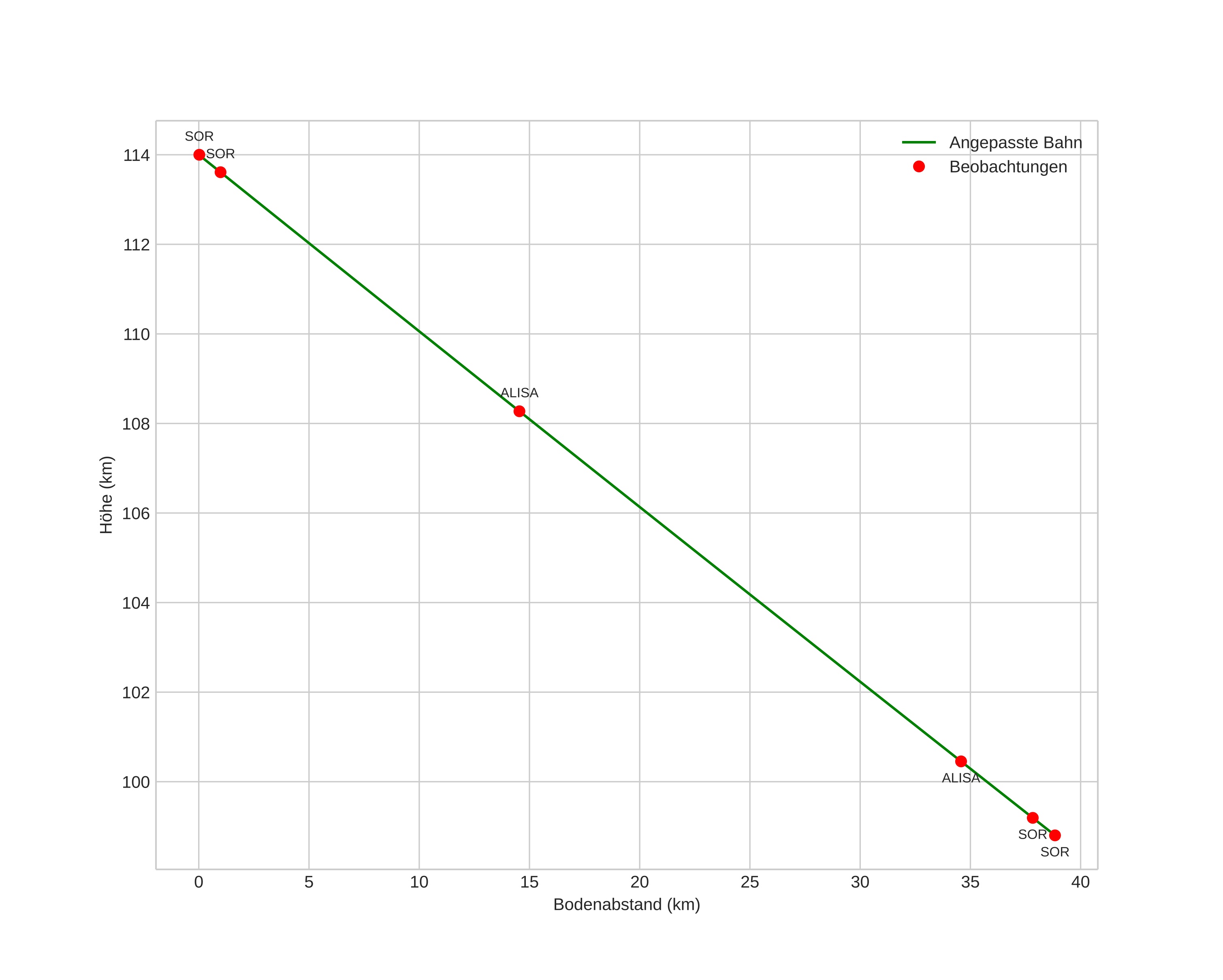
height profile
Atmosphärische Bahn des Meteors:
Anfangshöhe: 113,7 km
Endhöhe: 99,0 km
Startposition: 69,241N 16,464E
Endposition: 69,279N 15,522E
Richtung: 276,9°
Neigungswinkel: 21,5°
Eintrittsgeschwindigkeit: 73,0 km/s
Rektaszension des Radianten: 10:21 (155,3°)
Deklination des Radianten: 17,3°
Meteorstrom: Leoniden
Bahnelemente des Meteoroiden:
Periheldistanz: 0,963 AU
Exzentrizität: 1,005
Inklination: 168,6°
Länge des aufsteigenden Knotens: 235,1°
Argument des Perihels: 161,6°
Mittlere Anomalie: 0,0°
Epoche: 2019 NOV 18 00:26:22
orbit plot

Nicht-interaktives Diagramm | Interaktives Diagramm

position vs time
speed and acceleration