🇳🇴 🇬🇧 🇩🇪 🇨🇿 🇫🇮

Meteor, poloha: Arjeplog 2019-11-18 01:38:03 UTC

Soubor KML  |  InteraktivnĂ­ mapa

Mapa zobrazuje dráhy meteoru. Světlejší čáry ukazují směry od pozorovacích stanic při objevení se meteoru a tmavší čáry, kde byl naposledy viděn. Modrá šipka značí viditelnou dráhu meteoru.

static map
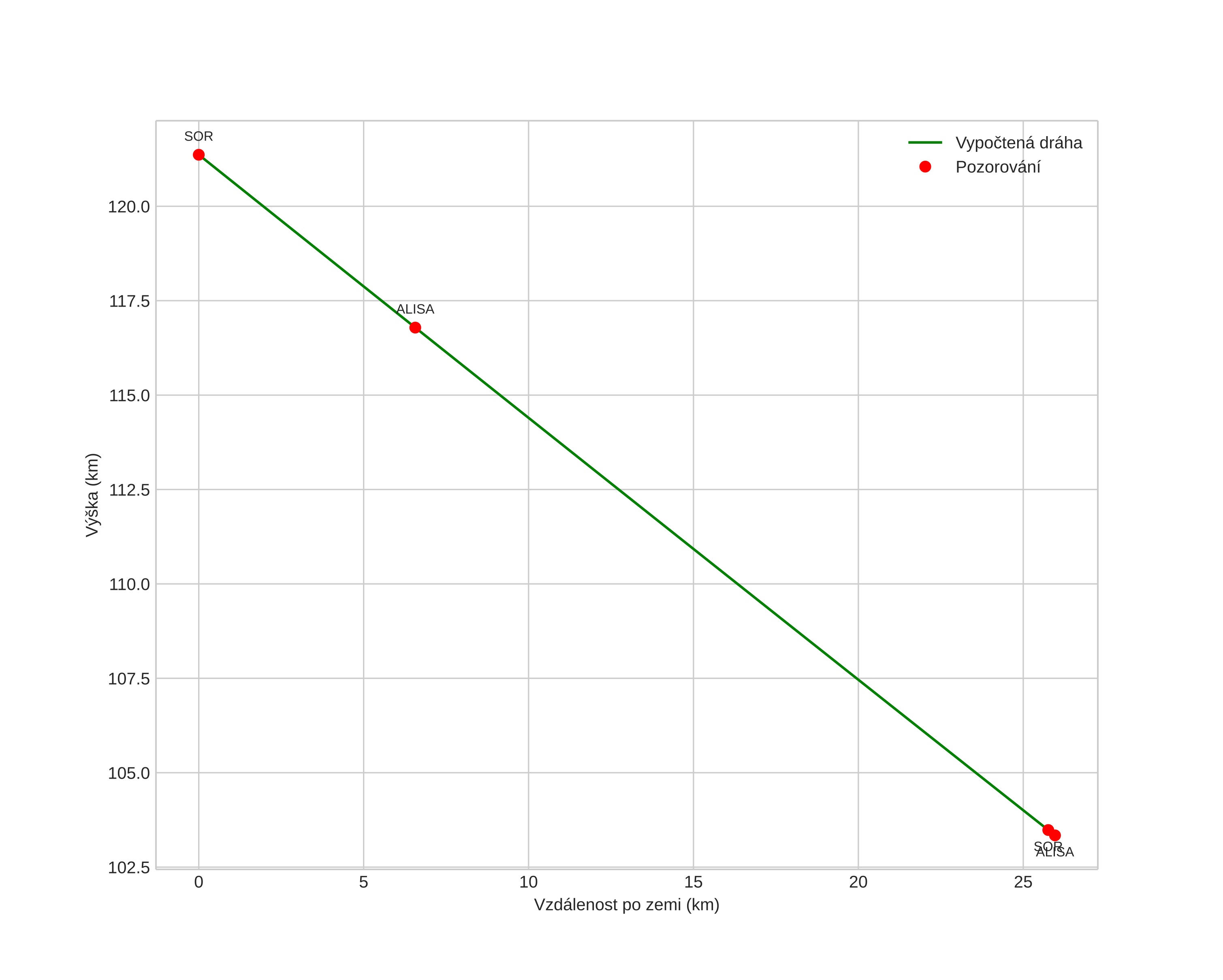
height profile
Atmosférická dráha meteoru:
Počáteční výška: 121,3 km
Konečná výška: 104,0 km
Počáteční poloha: 66,000N 18,872E
Konečná poloha: 66,135N 18,427E
Směr: 306,9°
Sklon: 34,6°
VstupnĂ­ rychlost: 87,2 km/s
Rektascenze radiantu: 09:35 (143,8°)
Deklinace radiantu: 18,4°
MeteorickĂ˝ roj: sporadickĂ˝
Elementy dráhy meteoroidu:
Vzdálenost v periheliu: 0,975 AU
Excentricita: 2,543
Sklon dráhy: 174,1°
Délka vzestupného uzlu: 235,2°
Argument perihelia: 191,2°
Střední anomálie: -11,5°
Epocha: 2019 NOV 18 01:38:03
orbit plot

NeinteraktivnĂ­ graf | InteraktivnĂ­ graf

position vs time
speed and acceleration