🇳🇴 🇬🇧 🇩🇪 🇨🇿 🇫🇮

Meteor Arjeplogin yllä 2019-11-18 01:38:03 UTC

KML-tiedosto  |  Interaktiivinen kartta

Kartta näyttää meteorin suuntahavainnot. Vaaleammat viivat näyttävät suunnat havaintoasemilta meteorin ilmestyessä, ja tummemmat viivat näyttävät, missä se viimeksi nähtiin. Sininen nuoli näyttää meteorin näkyvän lennon.

static map
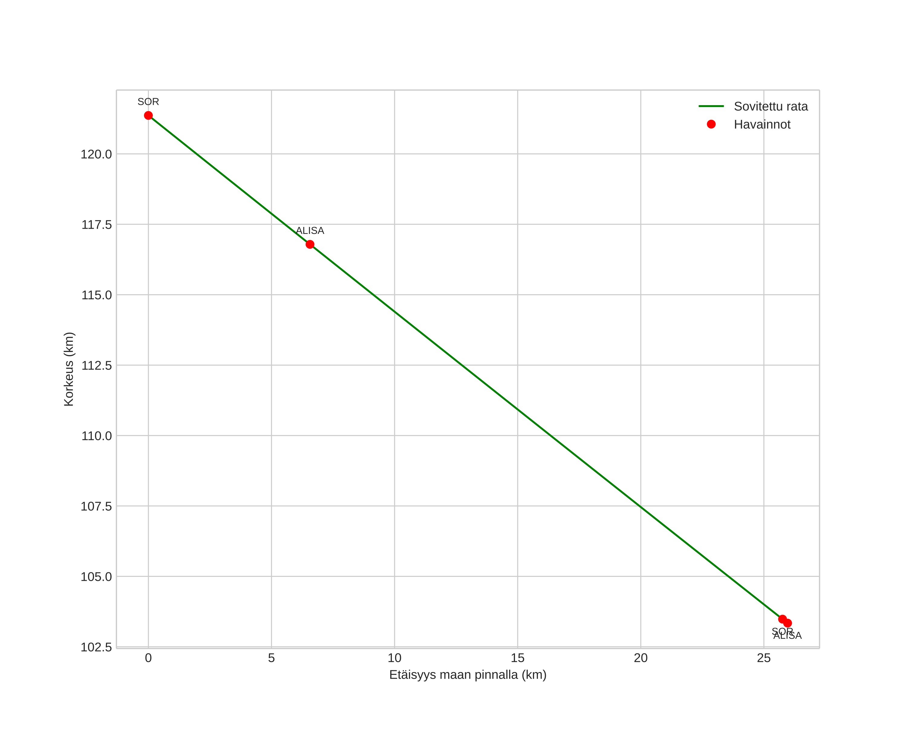
height profile
Meteorin ilmakehärata:
Alkukorkeus: 121,3 km
Loppukorkeus: 104,0 km
Alkupiste: 66,000N 18,872E
Loppupiste: 66,135N 18,427E
Suunta: 306,9°
Kallistuskulma: 34,6°
Tulonopeus: 87,2 km/s
Radiantin R,A,: 09:35 (143,8°)
Radiantin Dekl,: 18,4°
Meteoriparvi: Sporadinen
Meteoroidin rataelementit:
Perihelietäisyys: 0,975 AU
Eksentrisyys: 2,543
Inklinaatio: 174,1°
Nousevan solmun pituus: 235,2°
Perihelin argumentti: 191,2°
Keskianomalia: -11,5°
Epookki: 2019 NOV 18 01:38:03
orbit plot

Ei-interaktiivinen kuvaaja | Interaktiivinen kuvaaja

position vs time
speed and acceleration