🇳🇴 🇬🇧 🇩🇪 🇨🇿 🇫🇮

Meteor, poloha: Lakselv 2019-11-18 02:26:40 UTC

Soubor KML  |  InteraktivnĂ­ mapa

Mapa zobrazuje dráhy meteoru. Světlejší čáry ukazují směry od pozorovacích stanic při objevení se meteoru a tmavší čáry, kde byl naposledy viděn. Modrá šipka značí viditelnou dráhu meteoru.

static map
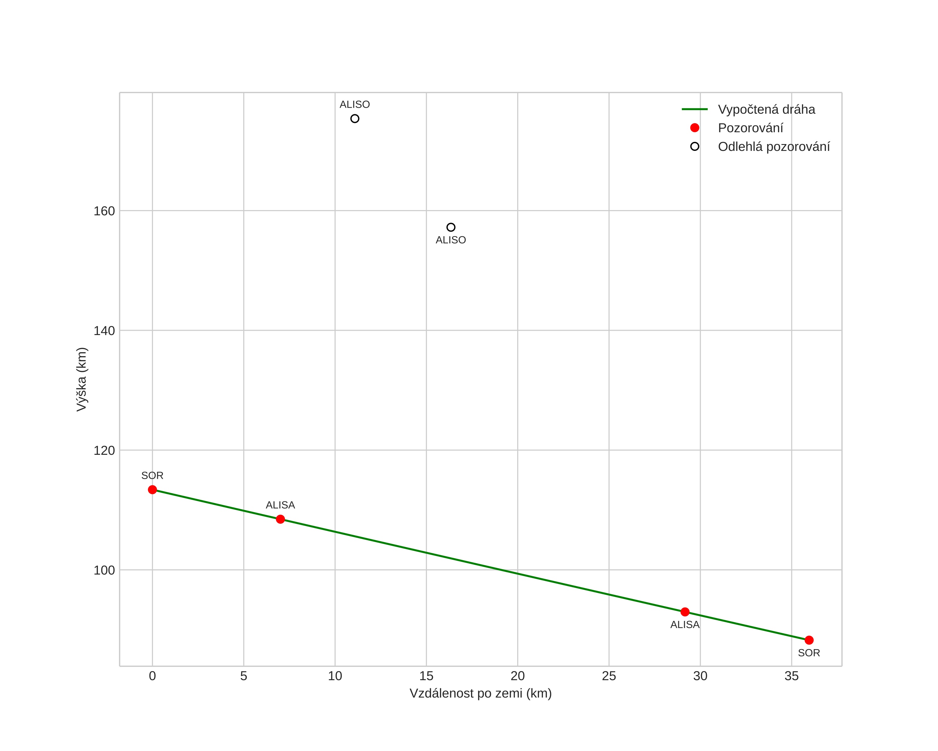
height profile
Atmosférická dráha meteoru:
Počáteční výška: 113,7 km
Konečná výška: 87,2 km
Počáteční poloha: 70,241N 25,930E
Konečná poloha: 70,323N 24,939E
Směr: 284,3°
Sklon: 34,7°
VstupnĂ­ rychlost: 110,5 km/s
Rektascenze radiantu: 12:13 (183,4°)
Deklinace radiantu: 27,8°
MeteorickĂ˝ roj: sporadickĂ˝
Elementy dráhy meteoroidu:
Vzdálenost v periheliu: 0,846 AU
Excentricita: 6,555
Sklon dráhy: 139,7°
Délka vzestupného uzlu: 235,2°
Argument perihelia: 146,5°
Střední anomálie: 177,2°
Epocha: 2019 NOV 18 02:26:40
orbit plot

NeinteraktivnĂ­ graf | InteraktivnĂ­ graf

position vs time
speed and acceleration