🇳🇴 🇬🇧 🇩🇪 🇨🇿 🇫🇮

Meteor Lakselvin yllä 2019-11-18 02:26:40 UTC

KML-tiedosto  |  Interaktiivinen kartta

Kartta näyttää meteorin suuntahavainnot. Vaaleammat viivat näyttävät suunnat havaintoasemilta meteorin ilmestyessä, ja tummemmat viivat näyttävät, missä se viimeksi nähtiin. Sininen nuoli näyttää meteorin näkyvän lennon.

static map
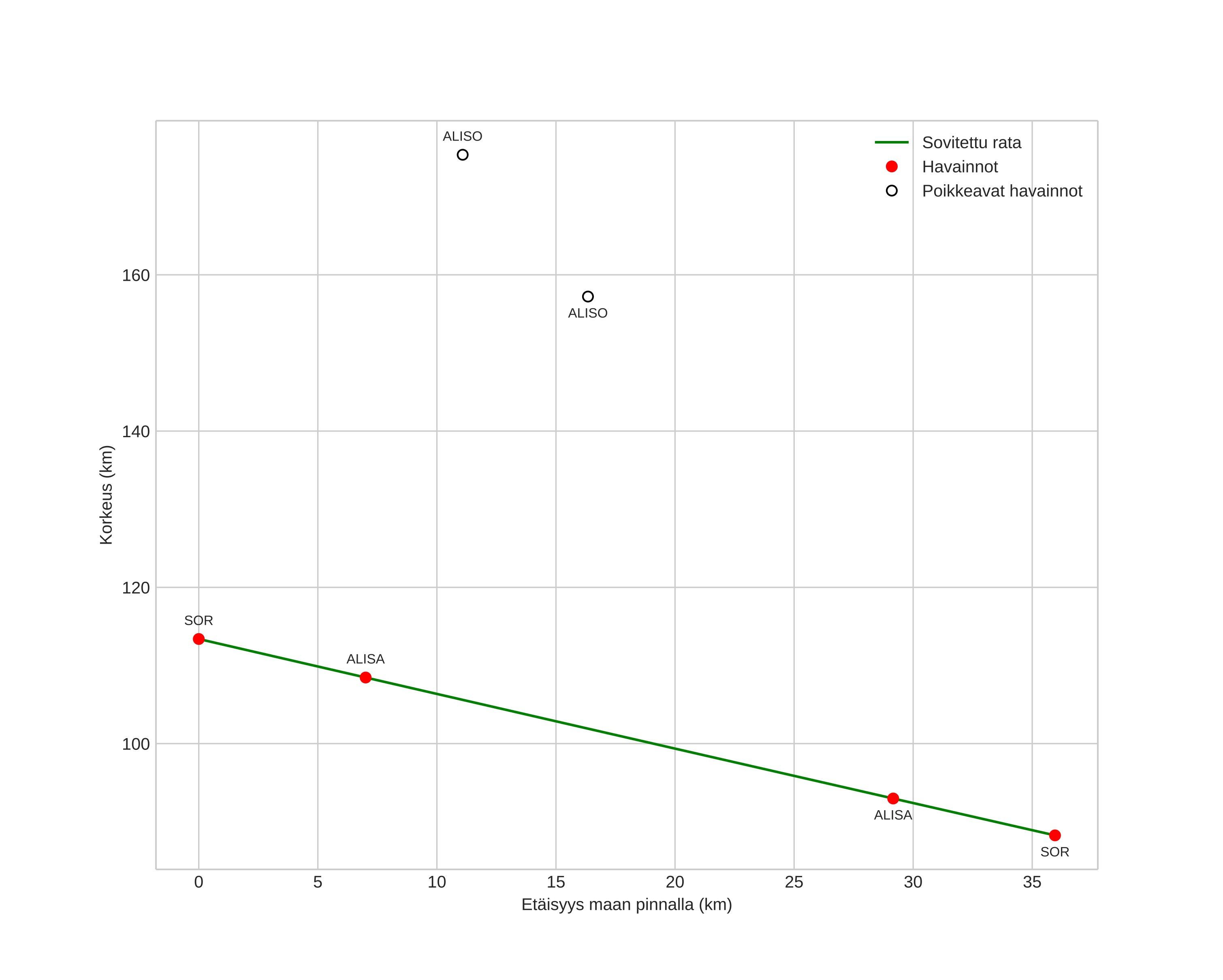
height profile
Meteorin ilmakehärata:
Alkukorkeus: 113,7 km
Loppukorkeus: 87,2 km
Alkupiste: 70,241N 25,930E
Loppupiste: 70,323N 24,939E
Suunta: 284,3°
Kallistuskulma: 34,7°
Tulonopeus: 110,5 km/s
Radiantin R,A,: 12:13 (183,4°)
Radiantin Dekl,: 27,8°
Meteoriparvi: Sporadinen
Meteoroidin rataelementit:
Perihelietäisyys: 0,846 AU
Eksentrisyys: 6,555
Inklinaatio: 139,7°
Nousevan solmun pituus: 235,2°
Perihelin argumentti: 146,5°
Keskianomalia: 177,2°
Epookki: 2019 NOV 18 02:26:40
orbit plot

Ei-interaktiivinen kuvaaja | Interaktiivinen kuvaaja

position vs time
speed and acceleration