🇳🇴 🇬🇧 🇩🇪 🇨🇿 🇫🇮

Meteor, poloha: Storslett 2019-11-20 02:30:37 UTC

Soubor KML  |  InteraktivnĂ­ mapa

Mapa zobrazuje dráhy meteoru. Světlejší čáry ukazují směry od pozorovacích stanic při objevení se meteoru a tmavší čáry, kde byl naposledy viděn. Modrá šipka značí viditelnou dráhu meteoru.

static map
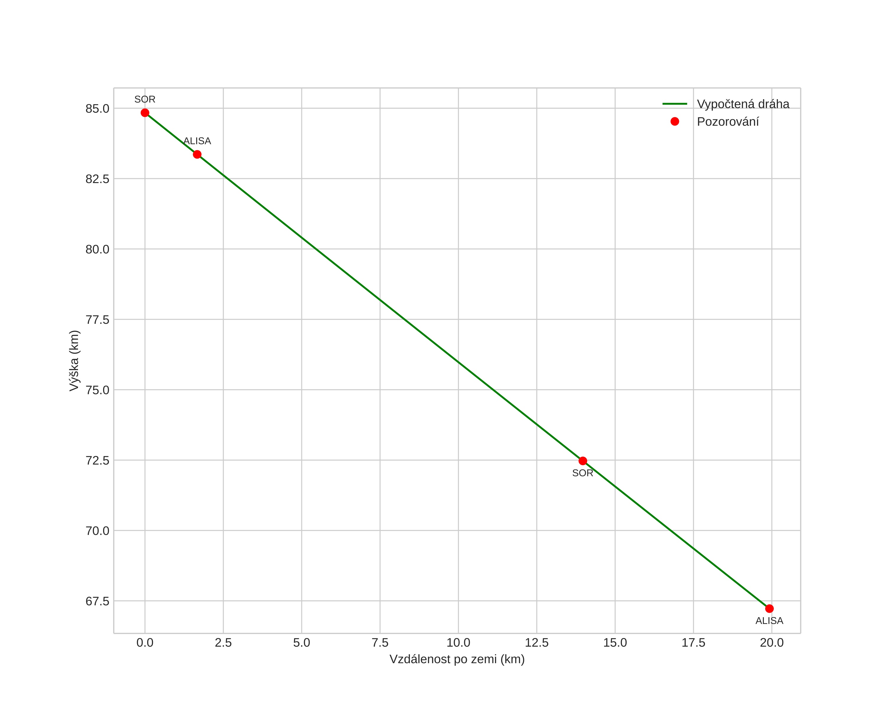
height profile
Atmosférická dráha meteoru:
Počáteční výška: 83,2 km
Konečná výška: 67,2 km
Počáteční poloha: 68,779N 21,055E
Konečná poloha: 68,876N 21,426E
Směr: 53,8°
Sklon: 40,9°
VstupnĂ­ rychlost: 28,8 km/s
Rektascenze radiantu: 04:52 (73,2°)
Deklinace radiantu: 24,5°
MeteorickĂ˝ roj: SevernĂ­ Tauridy
Elementy dráhy meteoroidu:
Vzdálenost v periheliu: 0,303 AU
Excentricita: 0,781
Sklon dráhy: 2,4°
Délka vzestupného uzlu: 237,1°
Argument perihelia: 305,6°
Střední anomálie: 333,0°
Epocha: 2019 NOV 20 02:30:37
orbit plot

NeinteraktivnĂ­ graf | InteraktivnĂ­ graf

position vs time
speed and acceleration