🇳🇴 🇬🇧 🇩🇪 🇨🇿 🇫🇮

Meteor über Storslett 2019-11-20 02:30:37 UTC

KML-Datei  |  Interaktive Karte

Die Karte zeigt die Peilungen für den Meteor. Die helleren Linien zeigen die Richtungen von den Beobachtungsorten beim Erscheinen des Meteors, und die dunkleren Linien, wo er zuletzt gesehen wurde. Der blaue Pfeil zeigt die sichtbare Bahn des Meteors.

static map
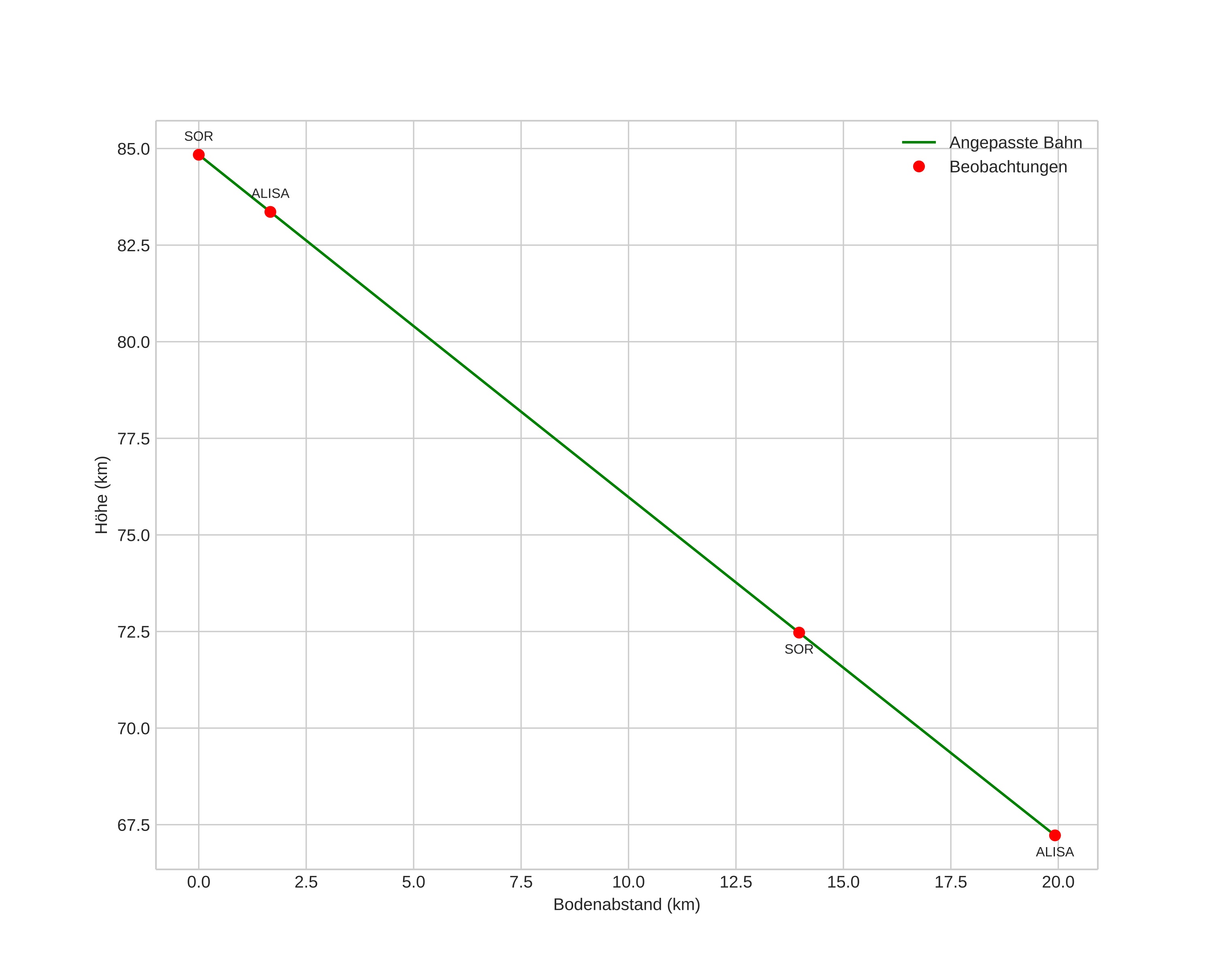
height profile
Atmosphärische Bahn des Meteors:
Anfangshöhe: 83,2 km
Endhöhe: 67,2 km
Startposition: 68,779N 21,055E
Endposition: 68,876N 21,426E
Richtung: 53,8°
Neigungswinkel: 40,9°
Eintrittsgeschwindigkeit: 28,8 km/s
Rektaszension des Radianten: 04:52 (73,2°)
Deklination des Radianten: 24,5°
Meteorstrom: Nördliche Tauriden
Bahnelemente des Meteoroiden:
Periheldistanz: 0,303 AU
Exzentrizität: 0,781
Inklination: 2,4°
Länge des aufsteigenden Knotens: 237,1°
Argument des Perihels: 305,6°
Mittlere Anomalie: 333,0°
Epoche: 2019 NOV 20 02:30:37
orbit plot

Nicht-interaktives Diagramm | Interaktives Diagramm

position vs time
speed and acceleration