🇳🇴 🇬🇧 🇩🇪 🇨🇿 🇫🇮

Meteor, poloha: Moen 2019-11-22 01:59:17 UTC

Soubor KML  |  InteraktivnĂ­ mapa

Mapa zobrazuje dráhy meteoru. Světlejší čáry ukazují směry od pozorovacích stanic při objevení se meteoru a tmavší čáry, kde byl naposledy viděn. Modrá šipka značí viditelnou dráhu meteoru.

static map
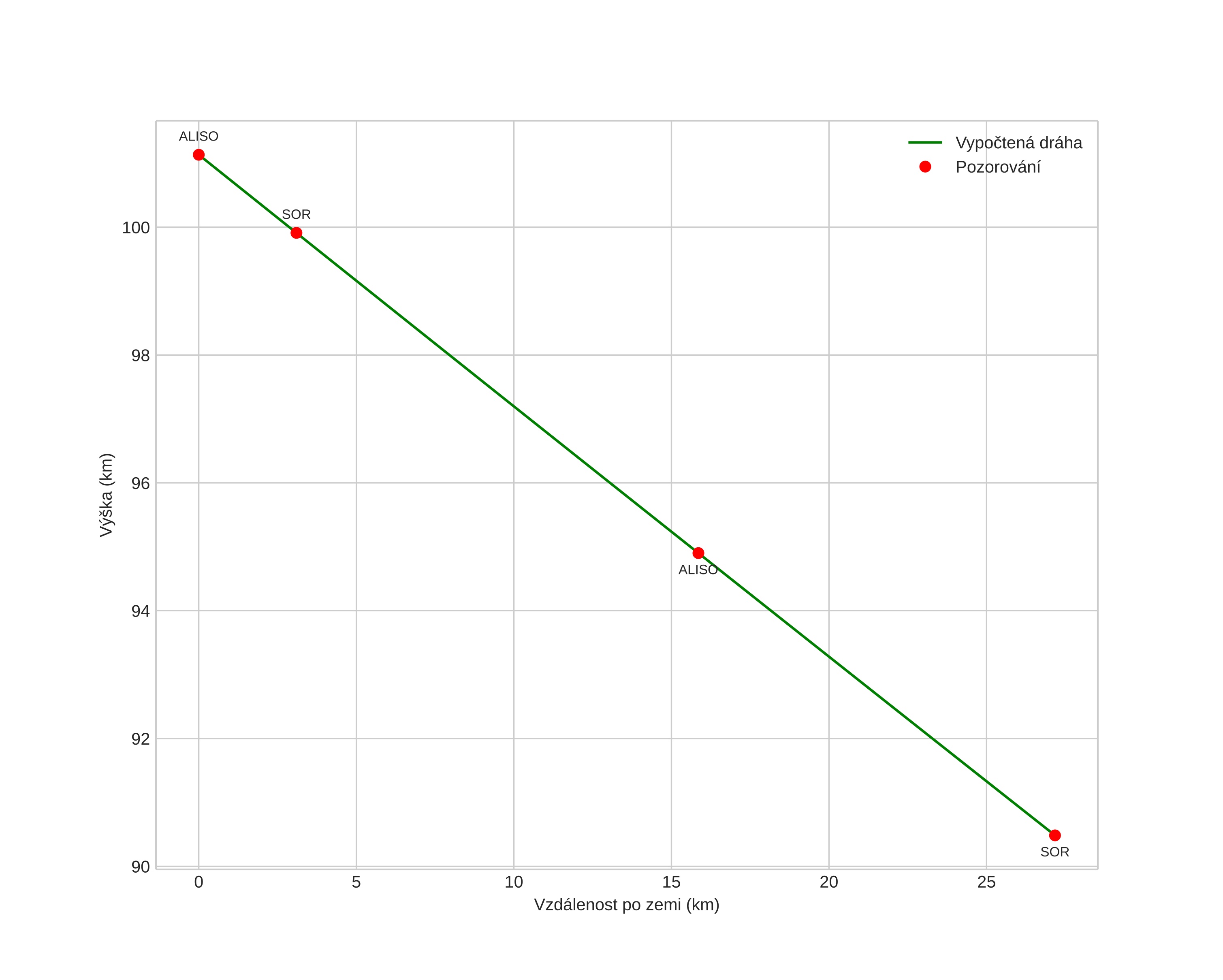
height profile
Atmosférická dráha meteoru:
Počáteční výška: 101,7 km
Konečná výška: 90,8 km
Počáteční poloha: 69,206N 19,007E
Konečná poloha: 69,357N 18,483E
Směr: 309,4°
Sklon: 22,3°
VstupnĂ­ rychlost: 62,4 km/s
Rektascenze radiantu: 10:22 (155,6°)
Deklinace radiantu: 7,9°
MeteorickĂ˝ roj: sporadickĂ˝
Elementy dráhy meteoroidu:
Vzdálenost v periheliu: 0,880 AU
Excentricita: 0,195
Sklon dráhy: 175,8°
Délka vzestupného uzlu: 59,2°
Argument perihelia: 289,4°
Střední anomálie: 50,6°
Epocha: 2019 NOV 22 01:59:17
orbit plot

NeinteraktivnĂ­ graf | InteraktivnĂ­ graf

position vs time
speed and acceleration