🇳🇴 🇬🇧 🇩🇪 🇨🇿 🇫🇮

Meteor Moenin yllä 2019-11-22 01:59:17 UTC

KML-tiedosto  |  Interaktiivinen kartta

Kartta näyttää meteorin suuntahavainnot. Vaaleammat viivat näyttävät suunnat havaintoasemilta meteorin ilmestyessä, ja tummemmat viivat näyttävät, missä se viimeksi nähtiin. Sininen nuoli näyttää meteorin näkyvän lennon.

static map
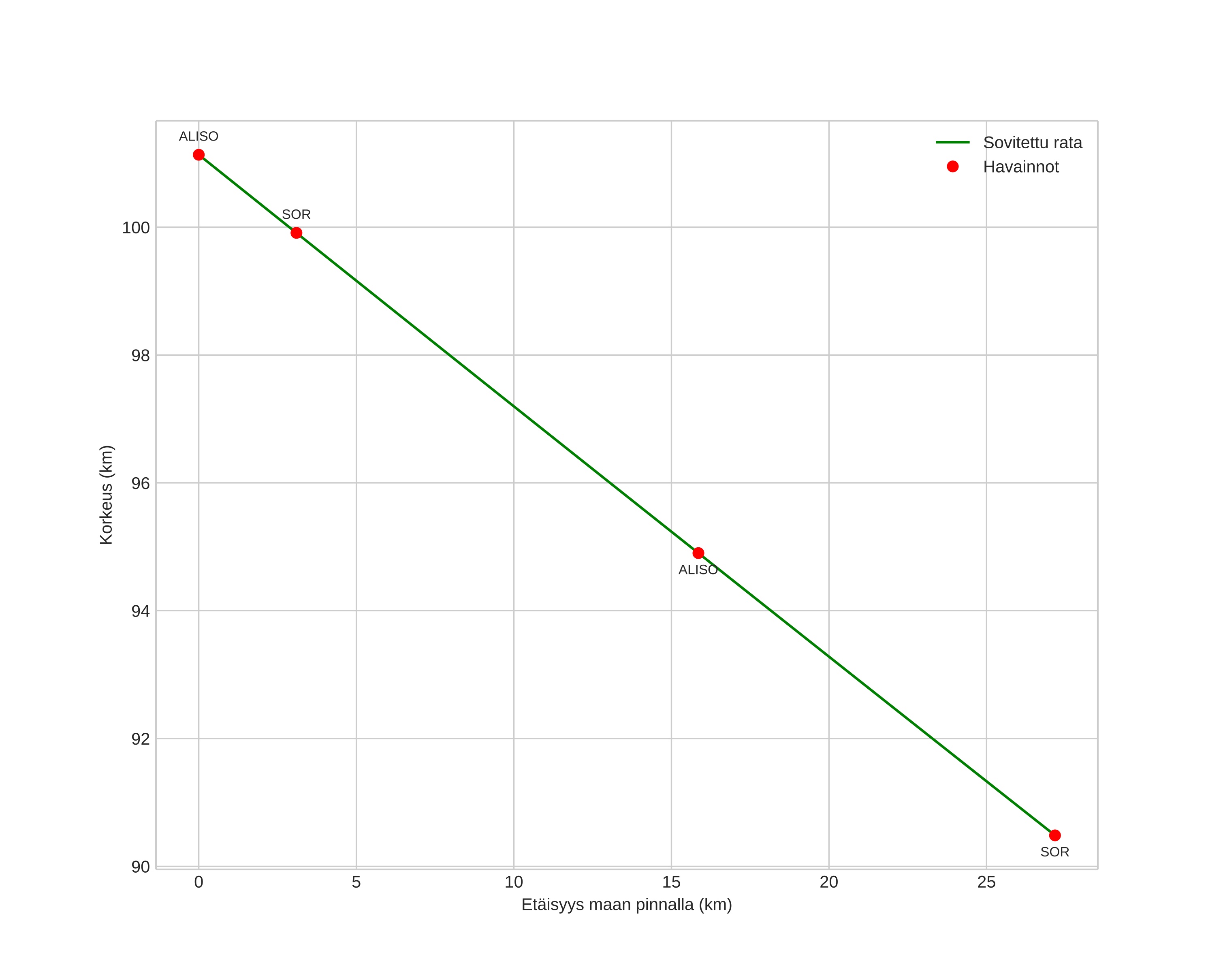
height profile
Meteorin ilmakehärata:
Alkukorkeus: 101,7 km
Loppukorkeus: 90,8 km
Alkupiste: 69,206N 19,007E
Loppupiste: 69,357N 18,483E
Suunta: 309,4°
Kallistuskulma: 22,3°
Tulonopeus: 62,4 km/s
Radiantin R,A,: 10:22 (155,6°)
Radiantin Dekl,: 7,9°
Meteoriparvi: Sporadinen
Meteoroidin rataelementit:
Perihelietäisyys: 0,880 AU
Eksentrisyys: 0,195
Inklinaatio: 175,8°
Nousevan solmun pituus: 59,2°
Perihelin argumentti: 289,4°
Keskianomalia: 50,6°
Epookki: 2019 NOV 22 01:59:17
orbit plot

Ei-interaktiivinen kuvaaja | Interaktiivinen kuvaaja

position vs time
speed and acceleration