🇳🇴 🇬🇧 🇩🇪 🇨🇿 🇫🇮

Meteor, poloha: Lødingen 2019-11-26 19:10:49 UTC

Soubor KML  |  InteraktivnĂ­ mapa

Mapa zobrazuje dráhy meteoru. Světlejší čáry ukazují směry od pozorovacích stanic při objevení se meteoru a tmavší čáry, kde byl naposledy viděn. Modrá šipka značí viditelnou dráhu meteoru.

static map
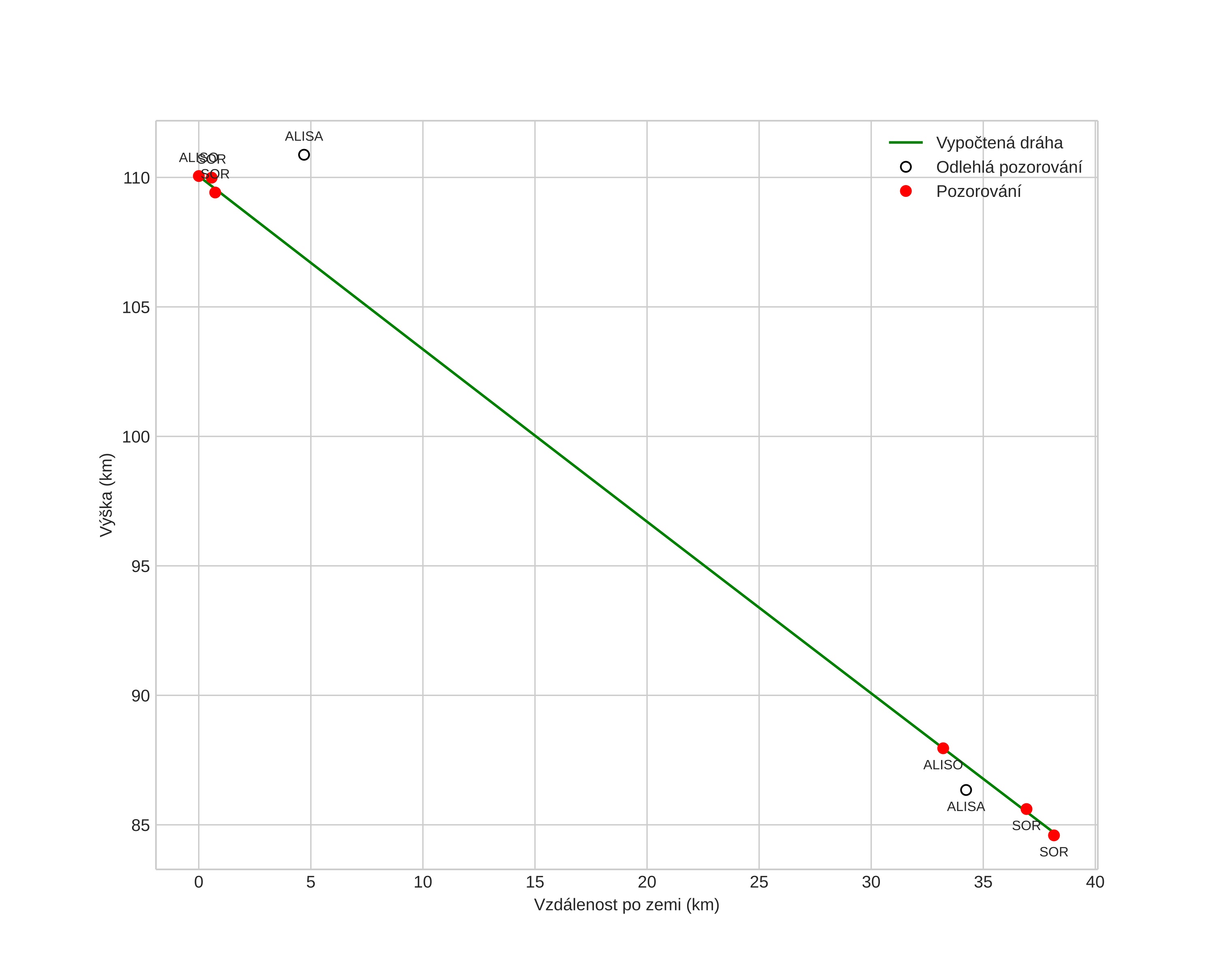
height profile
Atmosférická dráha meteoru:
Počáteční výška: 111,0 km
Konečná výška: 84,0 km
Počáteční poloha: 68,637N 16,089E
Konečná poloha: 68,290N 15,816E
Směr: 196,2°
Sklon: 33,9°
VstupnĂ­ rychlost: 60,6 km/s
Rektascenze radiantu: 11:03 (165,9°)
Deklinace radiantu: 53,7°
MeteorickĂ˝ roj: sporadickĂ˝
Elementy dráhy meteoroidu:
Vzdálenost v periheliu: 0,942 AU
Excentricita: 1,105
Sklon dráhy: 106,9°
Délka vzestupného uzlu: 244,0°
Argument perihelia: 204,1°
Střední anomálie: -0,6°
Epocha: 2019 NOV 26 19:10:49
orbit plot

NeinteraktivnĂ­ graf | InteraktivnĂ­ graf

position vs time
speed and acceleration