🇳🇴 🇬🇧 🇩🇪 🇨🇿 🇫🇮

Meteor Lødingenin yllä 2019-11-26 19:10:49 UTC

KML-tiedosto  |  Interaktiivinen kartta

Kartta näyttää meteorin suuntahavainnot. Vaaleammat viivat näyttävät suunnat havaintoasemilta meteorin ilmestyessä, ja tummemmat viivat näyttävät, missä se viimeksi nähtiin. Sininen nuoli näyttää meteorin näkyvän lennon.

static map
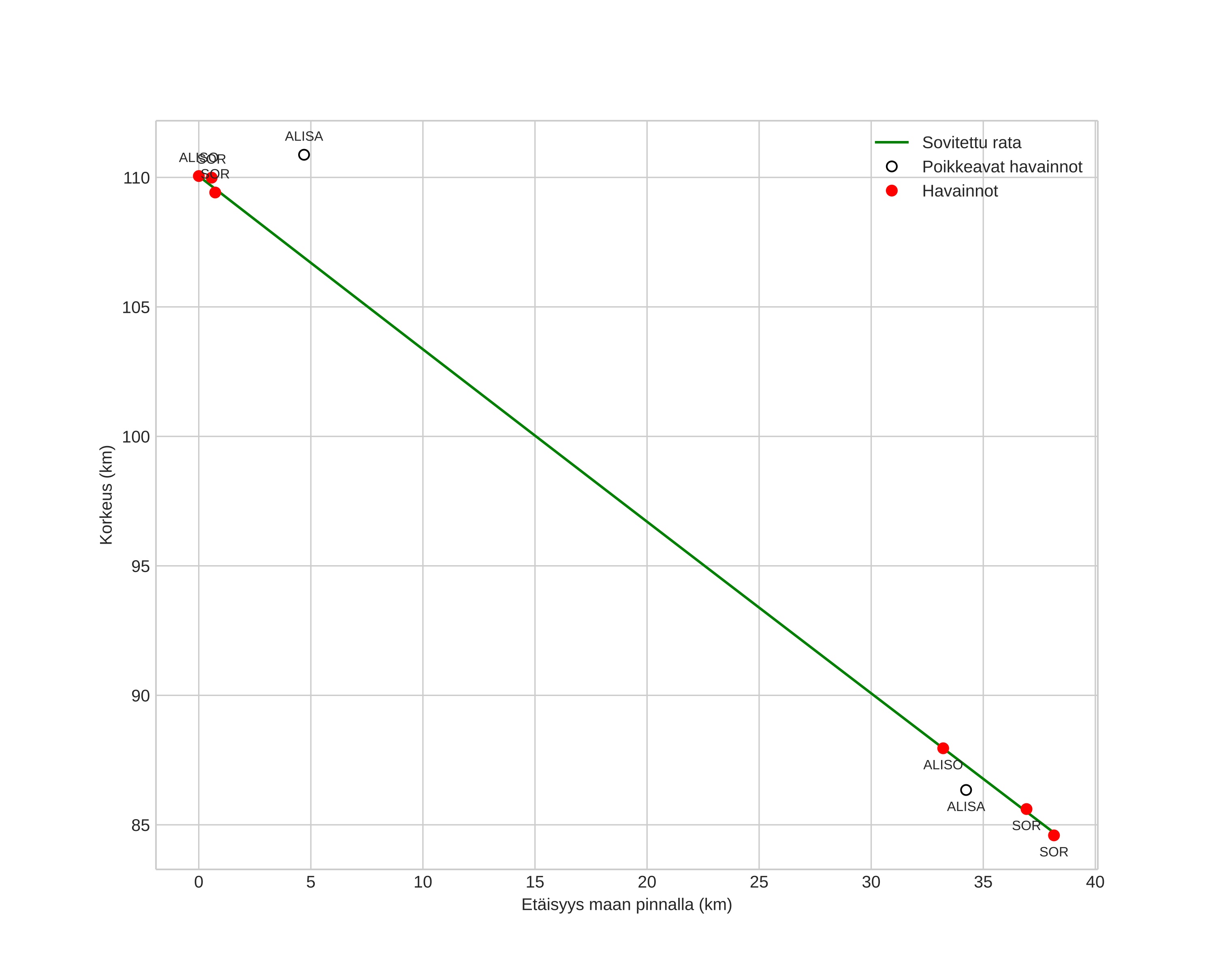
height profile
Meteorin ilmakehärata:
Alkukorkeus: 111,0 km
Loppukorkeus: 84,0 km
Alkupiste: 68,637N 16,089E
Loppupiste: 68,290N 15,816E
Suunta: 196,2°
Kallistuskulma: 33,9°
Tulonopeus: 60,6 km/s
Radiantin R,A,: 11:03 (165,9°)
Radiantin Dekl,: 53,7°
Meteoriparvi: Sporadinen
Meteoroidin rataelementit:
Perihelietäisyys: 0,942 AU
Eksentrisyys: 1,105
Inklinaatio: 106,9°
Nousevan solmun pituus: 244,0°
Perihelin argumentti: 204,1°
Keskianomalia: -0,6°
Epookki: 2019 NOV 26 19:10:49
orbit plot

Ei-interaktiivinen kuvaaja | Interaktiivinen kuvaaja

position vs time
speed and acceleration