🇳🇴 🇬🇧 🇩🇪 🇨🇿 🇫🇮

Meteor, poloha: Vikersund 2019-11-30 00:15:18 UTC

Soubor KML  |  InteraktivnĂ­ mapa

Mapa zobrazuje dráhy meteoru. Světlejší čáry ukazují směry od pozorovacích stanic při objevení se meteoru a tmavší čáry, kde byl naposledy viděn. Modrá šipka značí viditelnou dráhu meteoru.

static map
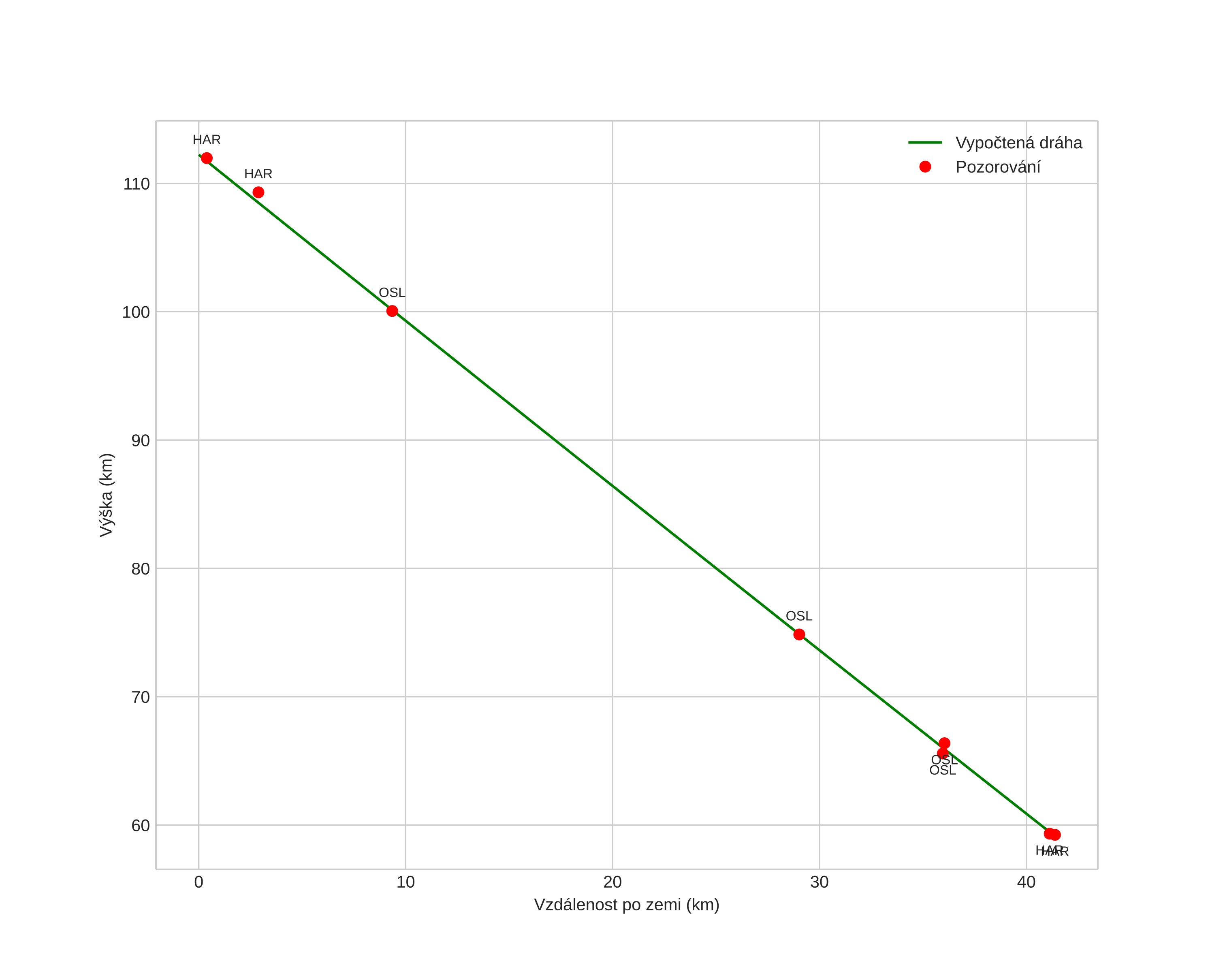
height profile
Atmosférická dráha meteoru:
Počáteční výška: 95,2 km
Konečná výška: 61,5 km
Počáteční poloha: 59,870N 9,854E
Konečná poloha: 60,143N 9,984E
Směr: 13,3°
Sklon: 47,2°
VstupnĂ­ rychlost: 25,1 km/s
Rektascenze radiantu: 04:46 (71,6°)
Deklinace radiantu: 15,0°
MeteorickĂ˝ roj: SevernĂ­ Tauridy
Elementy dráhy meteoroidu:
Vzdálenost v periheliu: 0,515 AU
Excentricita: 0,722
Sklon dráhy: 5,8°
Délka vzestupného uzlu: 67,2°
Argument perihelia: 98,0°
Střední anomálie: 341,9°
Epocha: 2019 NOV 30 00:15:18
orbit plot

NeinteraktivnĂ­ graf | InteraktivnĂ­ graf

position vs time
speed and acceleration