🇳🇴 🇬🇧 🇩🇪 🇨🇿 🇫🇮

Meteor Vikersundin yllä 2019-11-30 00:15:18 UTC

KML-tiedosto  |  Interaktiivinen kartta

Kartta näyttää meteorin suuntahavainnot. Vaaleammat viivat näyttävät suunnat havaintoasemilta meteorin ilmestyessä, ja tummemmat viivat näyttävät, missä se viimeksi nähtiin. Sininen nuoli näyttää meteorin näkyvän lennon.

static map
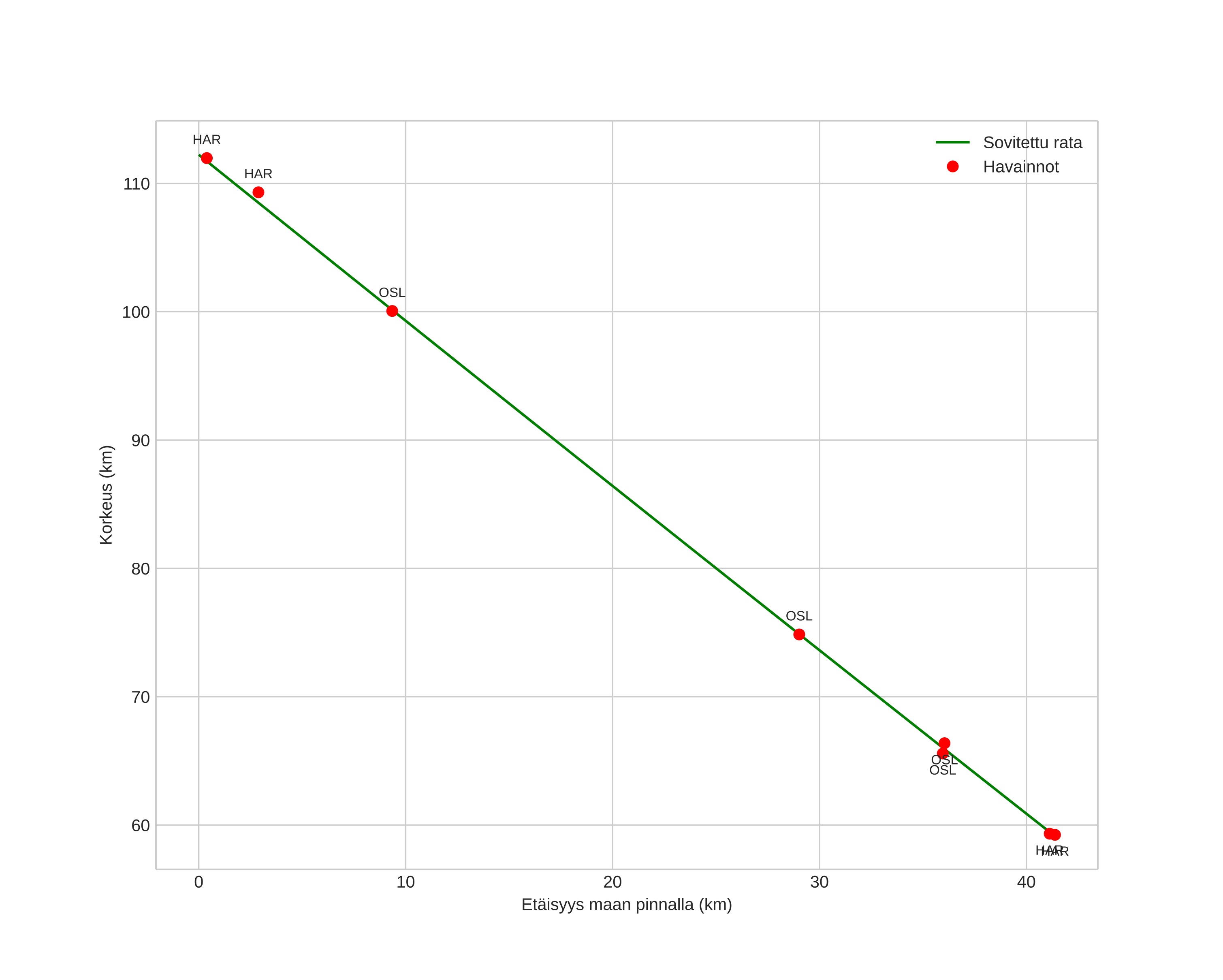
height profile
Meteorin ilmakehärata:
Alkukorkeus: 95,2 km
Loppukorkeus: 61,5 km
Alkupiste: 59,870N 9,854E
Loppupiste: 60,143N 9,984E
Suunta: 13,3°
Kallistuskulma: 47,2°
Tulonopeus: 25,1 km/s
Radiantin R,A,: 04:46 (71,6°)
Radiantin Dekl,: 15,0°
Meteoriparvi: Pohjoiset tauridit
Meteoroidin rataelementit:
Perihelietäisyys: 0,515 AU
Eksentrisyys: 0,722
Inklinaatio: 5,8°
Nousevan solmun pituus: 67,2°
Perihelin argumentti: 98,0°
Keskianomalia: 341,9°
Epookki: 2019 NOV 30 00:15:18
orbit plot

Ei-interaktiivinen kuvaaja | Interaktiivinen kuvaaja

position vs time
speed and acceleration