🇳🇴 🇬🇧 🇩🇪 🇨🇿 🇫🇮

Meteor, poloha: DombĂĄs 2019-11-30 03:05:47 UTC

Soubor KML  |  InteraktivnĂ­ mapa

Mapa zobrazuje dráhy meteoru. Světlejší čáry ukazují směry od pozorovacích stanic při objevení se meteoru a tmavší čáry, kde byl naposledy viděn. Modrá šipka značí viditelnou dráhu meteoru.

static map
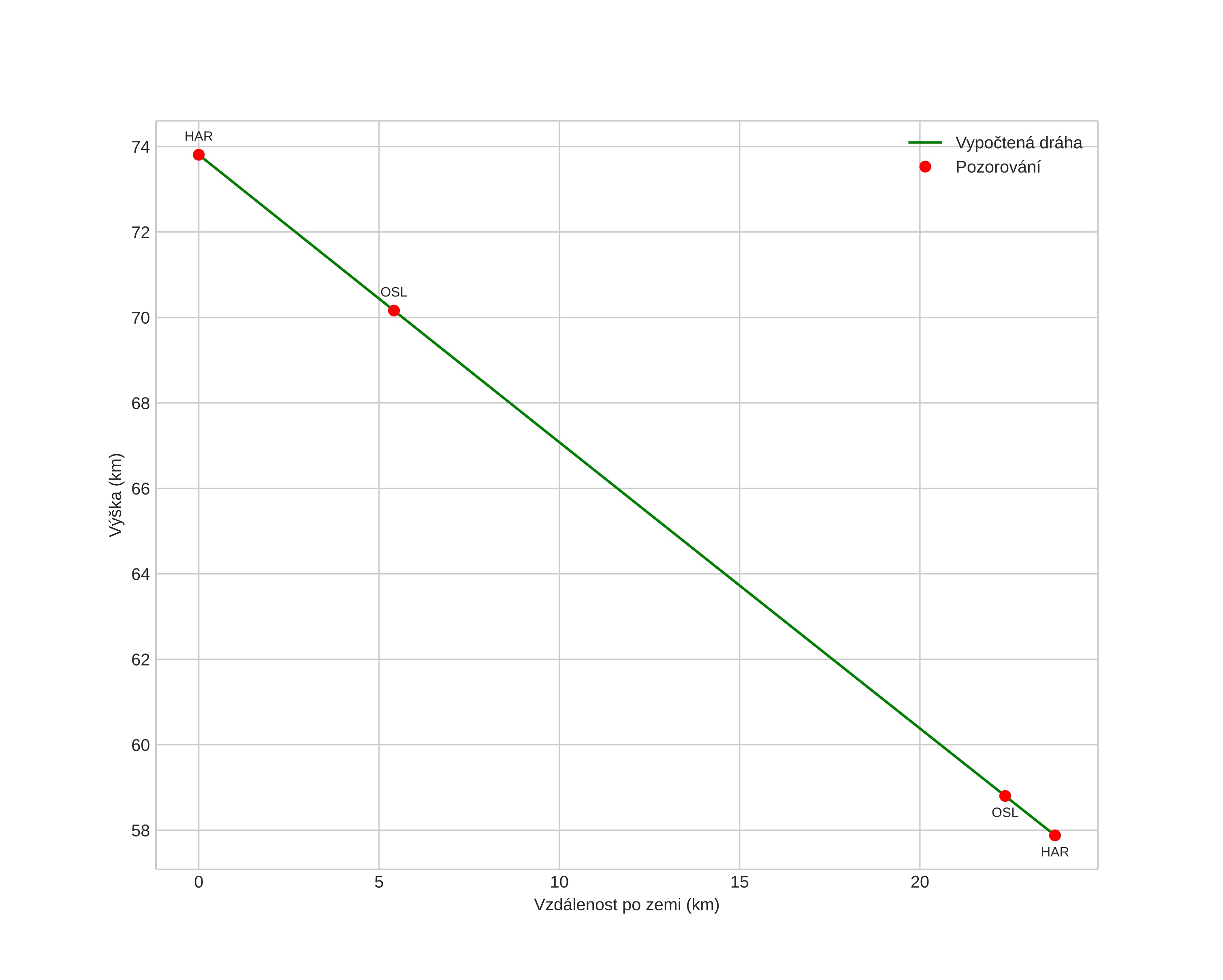
height profile
Atmosférická dráha meteoru:
Počáteční výška: 76,1 km
Konečná výška: 55,7 km
Počáteční poloha: 62,068N 8,804E
Konečná poloha: 62,157N 9,174E
Směr: 62,7°
Sklon: 43,3°
VstupnĂ­ rychlost: 24,0 km/s
Rektascenze radiantu: 05:01 (75,4°)
Deklinace radiantu: 23,9°
MeteorickĂ˝ roj: SevernĂ­ Tauridy
Elementy dráhy meteoroidu:
Vzdálenost v periheliu: 0,469 AU
Excentricita: 0,670
Sklon dráhy: 0,9°
Délka vzestupného uzlu: 247,2°
Argument perihelia: 288,0°
Střední anomálie: 331,3°
Epocha: 2019 NOV 30 03:05:47
orbit plot

NeinteraktivnĂ­ graf | InteraktivnĂ­ graf

position vs time
speed and acceleration