🇳🇴 🇬🇧 🇩🇪 🇨🇿 🇫🇮

Meteor Dombåsin yllä 2019-11-30 03:05:47 UTC

KML-tiedosto  |  Interaktiivinen kartta

Kartta näyttää meteorin suuntahavainnot. Vaaleammat viivat näyttävät suunnat havaintoasemilta meteorin ilmestyessä, ja tummemmat viivat näyttävät, missä se viimeksi nähtiin. Sininen nuoli näyttää meteorin näkyvän lennon.

static map
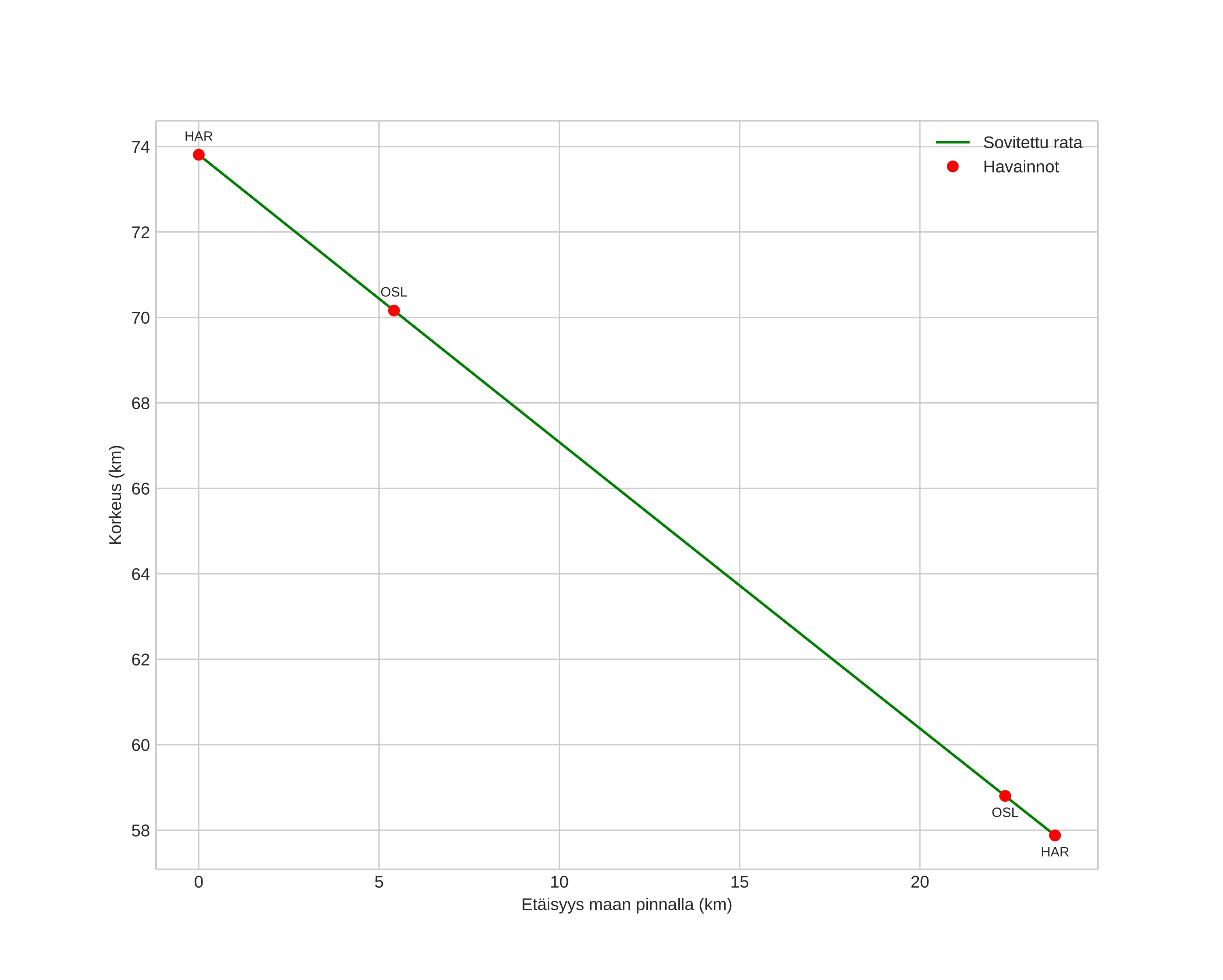
height profile
Meteorin ilmakehärata:
Alkukorkeus: 76,1 km
Loppukorkeus: 55,7 km
Alkupiste: 62,068N 8,804E
Loppupiste: 62,157N 9,174E
Suunta: 62,7°
Kallistuskulma: 43,3°
Tulonopeus: 24,0 km/s
Radiantin R,A,: 05:01 (75,4°)
Radiantin Dekl,: 23,9°
Meteoriparvi: Pohjoiset tauridit
Meteoroidin rataelementit:
Perihelietäisyys: 0,469 AU
Eksentrisyys: 0,670
Inklinaatio: 0,9°
Nousevan solmun pituus: 247,2°
Perihelin argumentti: 288,0°
Keskianomalia: 331,3°
Epookki: 2019 NOV 30 03:05:47
orbit plot

Ei-interaktiivinen kuvaaja | Interaktiivinen kuvaaja

position vs time
speed and acceleration