🇳🇴 🇬🇧 🇩🇪 🇨🇿 🇫🇮

Meteor, poloha: Ă…motfors 2019-12-01 00:47:07 UTC

Soubor KML  |  InteraktivnĂ­ mapa

Mapa zobrazuje dráhy meteoru. Světlejší čáry ukazují směry od pozorovacích stanic při objevení se meteoru a tmavší čáry, kde byl naposledy viděn. Modrá šipka značí viditelnou dráhu meteoru.

static map
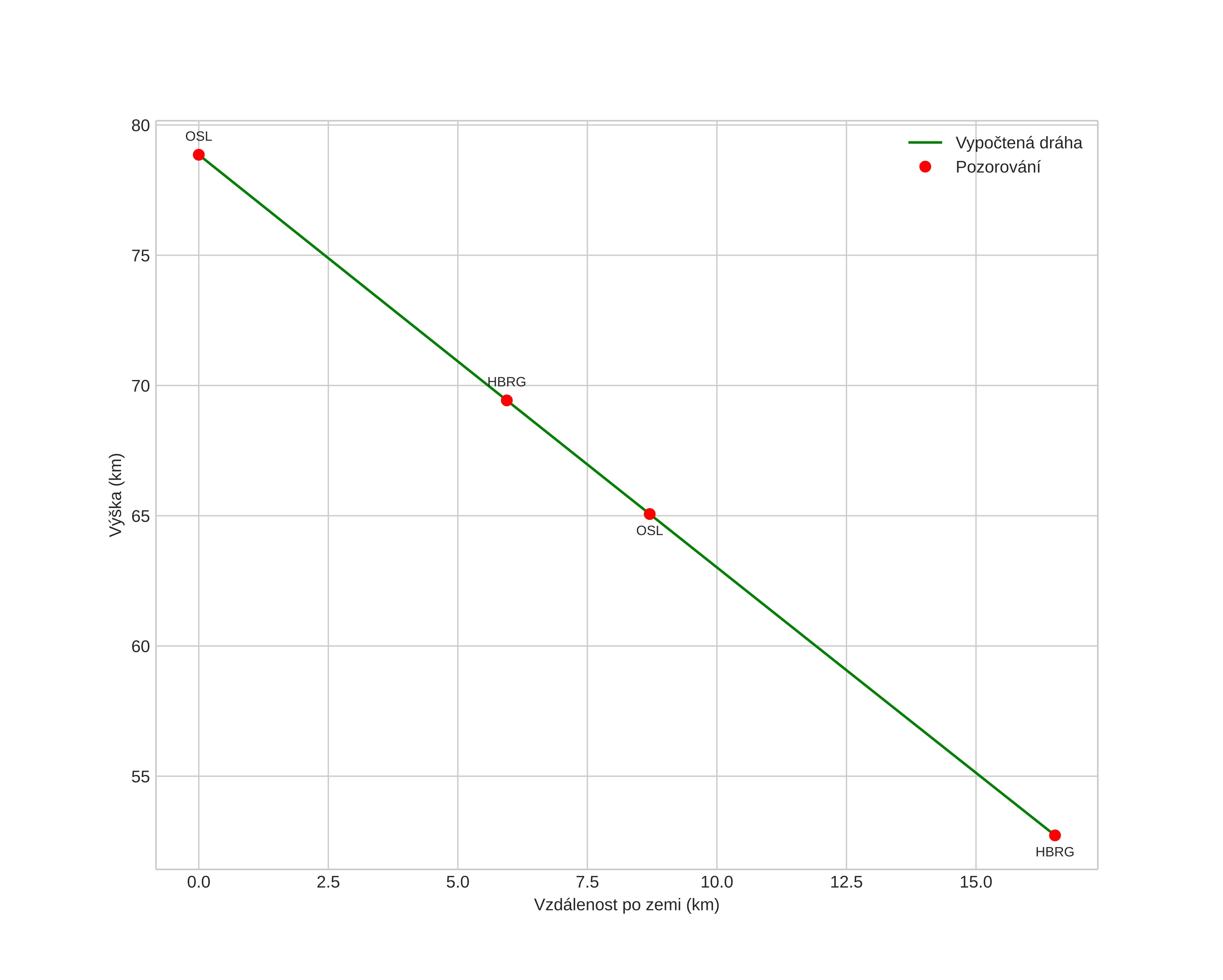
height profile
Atmosférická dráha meteoru:
Počáteční výška: 79,8 km
Konečná výška: 52,8 km
Počáteční poloha: 59,669N 12,123E
Konečná poloha: 59,625N 12,416E
Směr: 106,6°
Sklon: 57,5°
VstupnĂ­ rychlost: 20,6 km/s
Rektascenze radiantu: 01:54 (28,6°)
Deklinace radiantu: 51,2°
MeteorickĂ˝ roj: sporadickĂ˝
Elementy dráhy meteoroidu:
Vzdálenost v periheliu: 0,851 AU
Excentricita: 0,749
Sklon dráhy: 16,5°
Délka vzestupného uzlu: 248,2°
Argument perihelia: 227,1°
Střední anomálie: 355,1°
Epocha: 2019 DEC 01 00:47:07
orbit plot

NeinteraktivnĂ­ graf | InteraktivnĂ­ graf

position vs time
speed and acceleration