🇳🇴 🇬🇧 🇩🇪 🇨🇿 🇫🇮

Meteor Åmotforsin yllä 2019-12-01 00:47:07 UTC

KML-tiedosto  |  Interaktiivinen kartta

Kartta näyttää meteorin suuntahavainnot. Vaaleammat viivat näyttävät suunnat havaintoasemilta meteorin ilmestyessä, ja tummemmat viivat näyttävät, missä se viimeksi nähtiin. Sininen nuoli näyttää meteorin näkyvän lennon.

static map
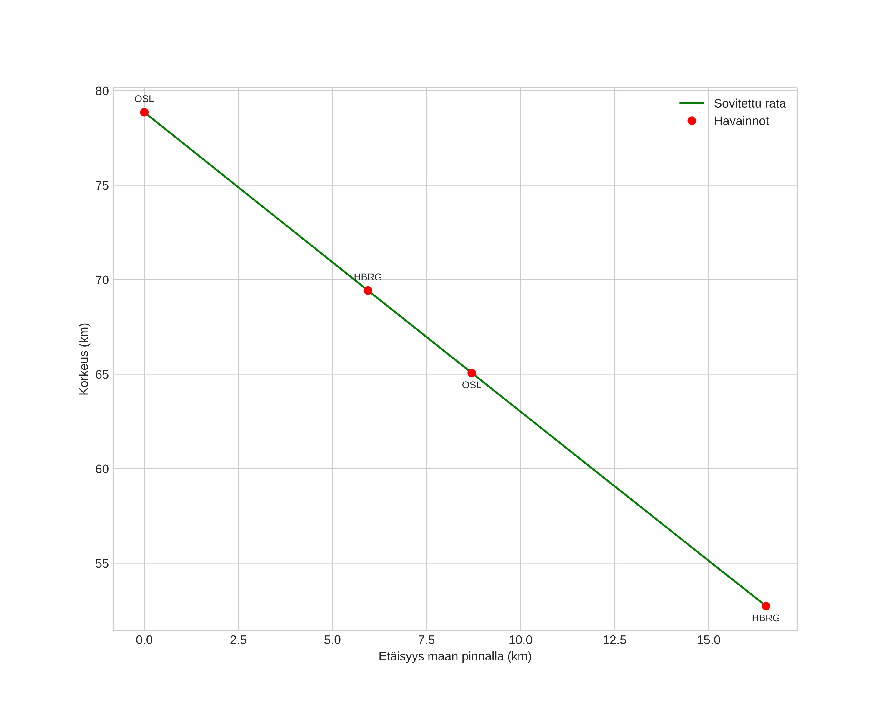
height profile
Meteorin ilmakehärata:
Alkukorkeus: 79,8 km
Loppukorkeus: 52,8 km
Alkupiste: 59,669N 12,123E
Loppupiste: 59,625N 12,416E
Suunta: 106,6°
Kallistuskulma: 57,5°
Tulonopeus: 20,6 km/s
Radiantin R,A,: 01:54 (28,6°)
Radiantin Dekl,: 51,2°
Meteoriparvi: Sporadinen
Meteoroidin rataelementit:
Perihelietäisyys: 0,851 AU
Eksentrisyys: 0,749
Inklinaatio: 16,5°
Nousevan solmun pituus: 248,2°
Perihelin argumentti: 227,1°
Keskianomalia: 355,1°
Epookki: 2019 DEC 01 00:47:07
orbit plot

Ei-interaktiivinen kuvaaja | Interaktiivinen kuvaaja

position vs time
speed and acceleration