🇳🇴 🇬🇧 🇩🇪 🇨🇿 🇫🇮

Meteor, poloha: Hokksund 2019-12-04 20:37:13 UTC

Soubor KML  |  InteraktivnĂ­ mapa

Mapa zobrazuje dráhy meteoru. Světlejší čáry ukazují směry od pozorovacích stanic při objevení se meteoru a tmavší čáry, kde byl naposledy viděn. Modrá šipka značí viditelnou dráhu meteoru.

static map
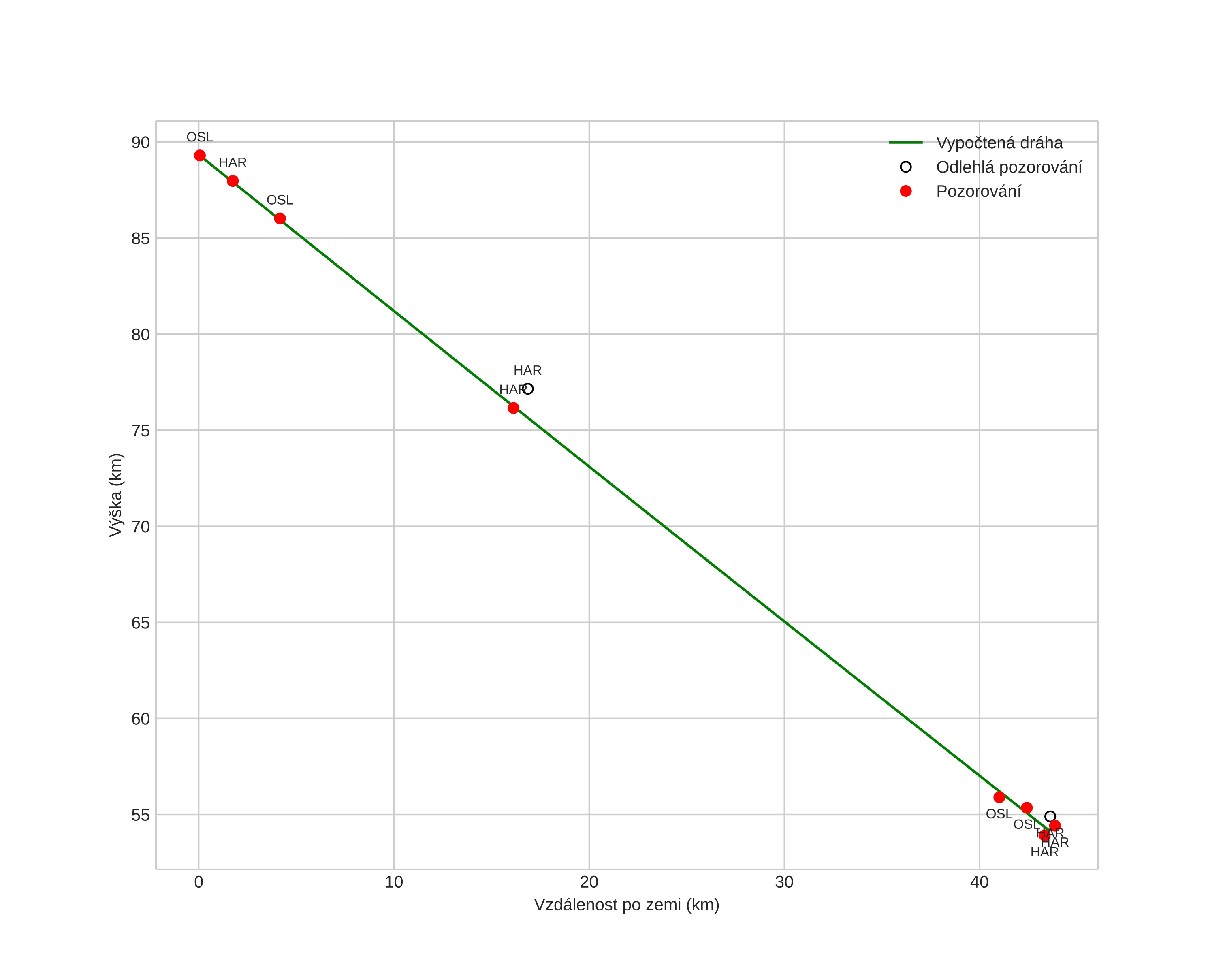
height profile
Atmosférická dráha meteoru:
Počáteční výška: 93,7 km
Konečná výška: 57,5 km
Počáteční poloha: 59,449N 10,447E
Konečná poloha: 59,685N 9,824E
Směr: 307,2°
Sklon: 39,5°
VstupnĂ­ rychlost: 26,2 km/s
Rektascenze radiantu: 04:55 (73,8°)
Deklinace radiantu: 15,7°
MeteorickĂ˝ roj: SevernĂ­ Tauridy
Elementy dráhy meteoroidu:
Vzdálenost v periheliu: 0,536 AU
Excentricita: 0,776
Sklon dráhy: 5,5°
Délka vzestupného uzlu: 72,1°
Argument perihelia: 92,5°
Střední anomálie: 348,3°
Epocha: 2019 DEC 04 20:37:13
orbit plot

NeinteraktivnĂ­ graf | InteraktivnĂ­ graf

position vs time
speed and acceleration