🇳🇴 🇬🇧 🇩🇪 🇨🇿 🇫🇮

Meteor Hokksundin yllä 2019-12-04 20:37:13 UTC

KML-tiedosto  |  Interaktiivinen kartta

Kartta näyttää meteorin suuntahavainnot. Vaaleammat viivat näyttävät suunnat havaintoasemilta meteorin ilmestyessä, ja tummemmat viivat näyttävät, missä se viimeksi nähtiin. Sininen nuoli näyttää meteorin näkyvän lennon.

static map
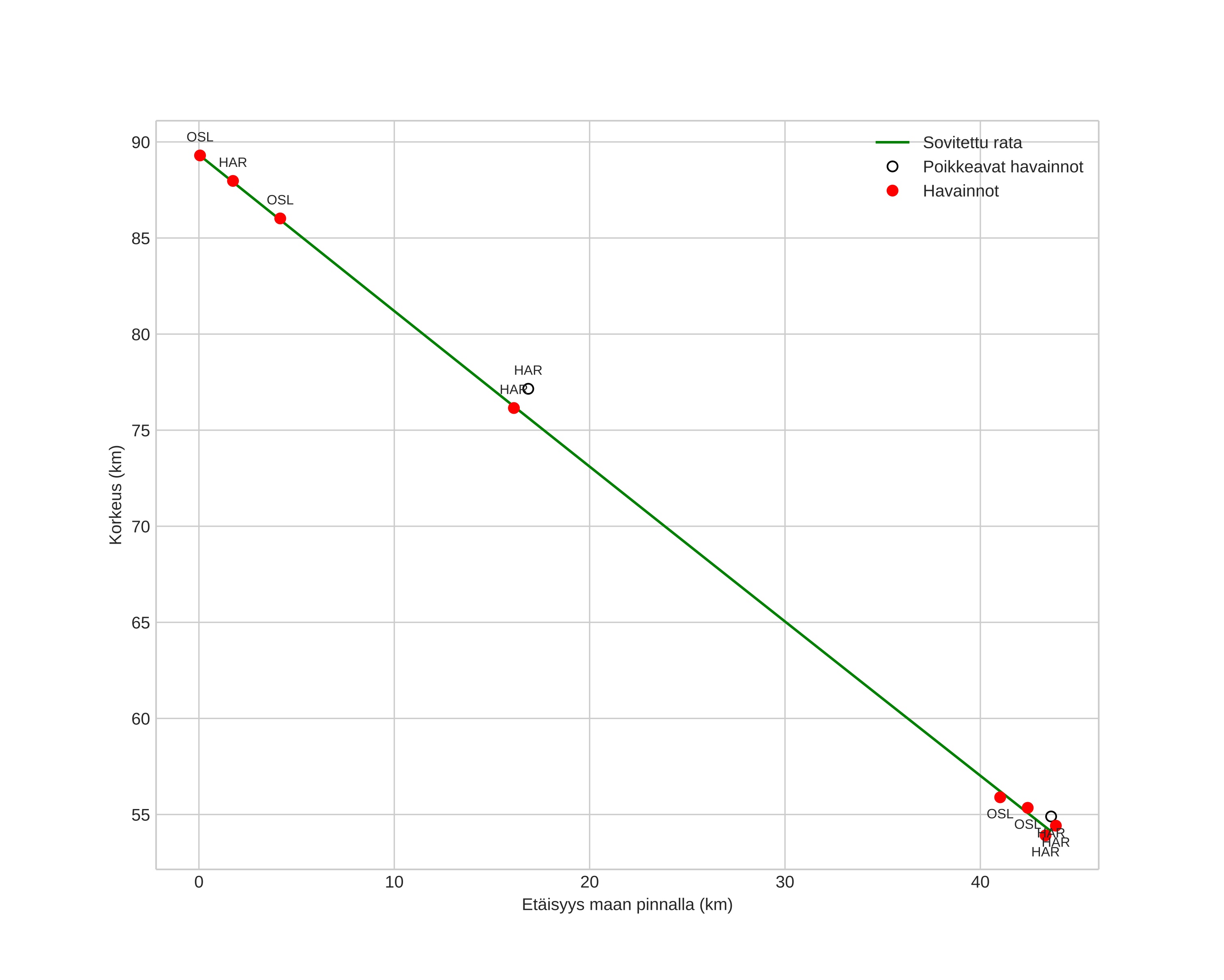
height profile
Meteorin ilmakehärata:
Alkukorkeus: 93,7 km
Loppukorkeus: 57,5 km
Alkupiste: 59,449N 10,447E
Loppupiste: 59,685N 9,824E
Suunta: 307,2°
Kallistuskulma: 39,5°
Tulonopeus: 26,2 km/s
Radiantin R,A,: 04:55 (73,8°)
Radiantin Dekl,: 15,7°
Meteoriparvi: Pohjoiset tauridit
Meteoroidin rataelementit:
Perihelietäisyys: 0,536 AU
Eksentrisyys: 0,776
Inklinaatio: 5,5°
Nousevan solmun pituus: 72,1°
Perihelin argumentti: 92,5°
Keskianomalia: 348,3°
Epookki: 2019 DEC 04 20:37:13
orbit plot

Ei-interaktiivinen kuvaaja | Interaktiivinen kuvaaja

position vs time
speed and acceleration