🇳🇴 🇬🇧 🇩🇪 🇨🇿 🇫🇮

Meteor, poloha: Rena 2019-12-07 04:28:22 UTC

Soubor KML  |  InteraktivnĂ­ mapa

Mapa zobrazuje dráhy meteoru. Světlejší čáry ukazují směry od pozorovacích stanic při objevení se meteoru a tmavší čáry, kde byl naposledy viděn. Modrá šipka značí viditelnou dráhu meteoru.

static map
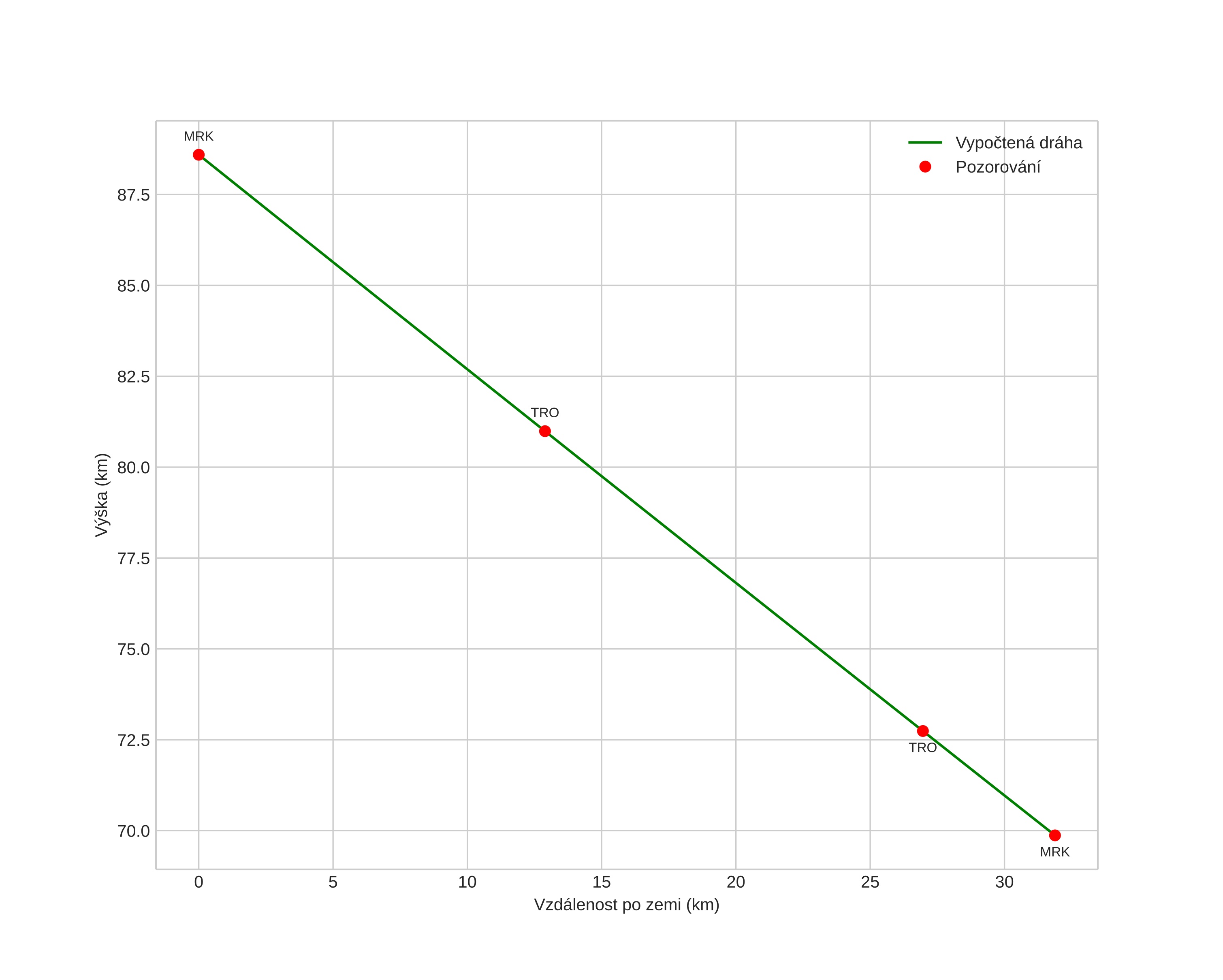
height profile
Atmosférická dráha meteoru:
Počáteční výška: 87,6 km
Konečná výška: 69,7 km
Počáteční poloha: 61,566N 11,556E
Konečná poloha: 61,280N 11,601E
Směr: 175,7°
Sklon: 29,3°
VstupnĂ­ rychlost: 34,6 km/s
Rektascenze radiantu: 22:45 (341,5°)
Deklinace radiantu: 55,7°
MeteorickĂ˝ roj: sporadickĂ˝
Elementy dráhy meteoroidu:
Vzdálenost v periheliu: 0,960 AU
Excentricita: 2,221
Sklon dráhy: 30,8°
Délka vzestupného uzlu: 254,5°
Argument perihelia: 195,6°
Střední anomálie: -12,0°
Epocha: 2019 DEC 07 04:28:22
orbit plot

NeinteraktivnĂ­ graf | InteraktivnĂ­ graf

position vs time
speed and acceleration