🇳🇴 🇬🇧 🇩🇪 🇨🇿 🇫🇮

Meteor Renan yllä 2019-12-07 04:28:22 UTC

KML-tiedosto  |  Interaktiivinen kartta

Kartta näyttää meteorin suuntahavainnot. Vaaleammat viivat näyttävät suunnat havaintoasemilta meteorin ilmestyessä, ja tummemmat viivat näyttävät, missä se viimeksi nähtiin. Sininen nuoli näyttää meteorin näkyvän lennon.

static map
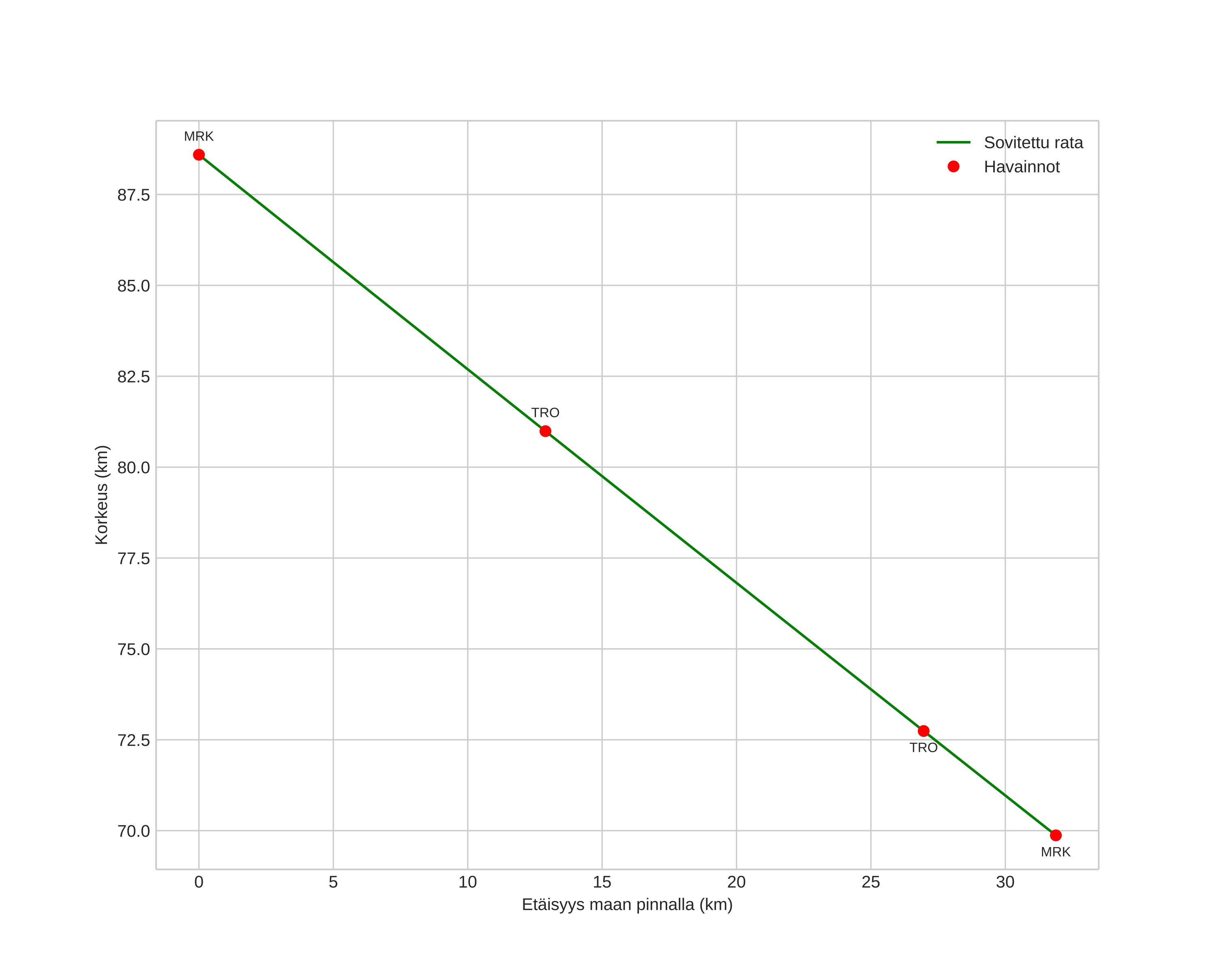
height profile
Meteorin ilmakehärata:
Alkukorkeus: 87,6 km
Loppukorkeus: 69,7 km
Alkupiste: 61,566N 11,556E
Loppupiste: 61,280N 11,601E
Suunta: 175,7°
Kallistuskulma: 29,3°
Tulonopeus: 34,6 km/s
Radiantin R,A,: 22:45 (341,5°)
Radiantin Dekl,: 55,7°
Meteoriparvi: Sporadinen
Meteoroidin rataelementit:
Perihelietäisyys: 0,960 AU
Eksentrisyys: 2,221
Inklinaatio: 30,8°
Nousevan solmun pituus: 254,5°
Perihelin argumentti: 195,6°
Keskianomalia: -12,0°
Epookki: 2019 DEC 07 04:28:22
orbit plot

Ei-interaktiivinen kuvaaja | Interaktiivinen kuvaaja

position vs time
speed and acceleration