🇳🇴 🇬🇧 🇩🇪 🇨🇿 🇫🇮

Meteor, poloha: Hurdal 2019-12-09 20:29:12 UTC

Soubor KML  |  InteraktivnĂ­ mapa

Mapa zobrazuje dráhy meteoru. Světlejší čáry ukazují směry od pozorovacích stanic při objevení se meteoru a tmavší čáry, kde byl naposledy viděn. Modrá šipka značí viditelnou dráhu meteoru.

static map
height profile
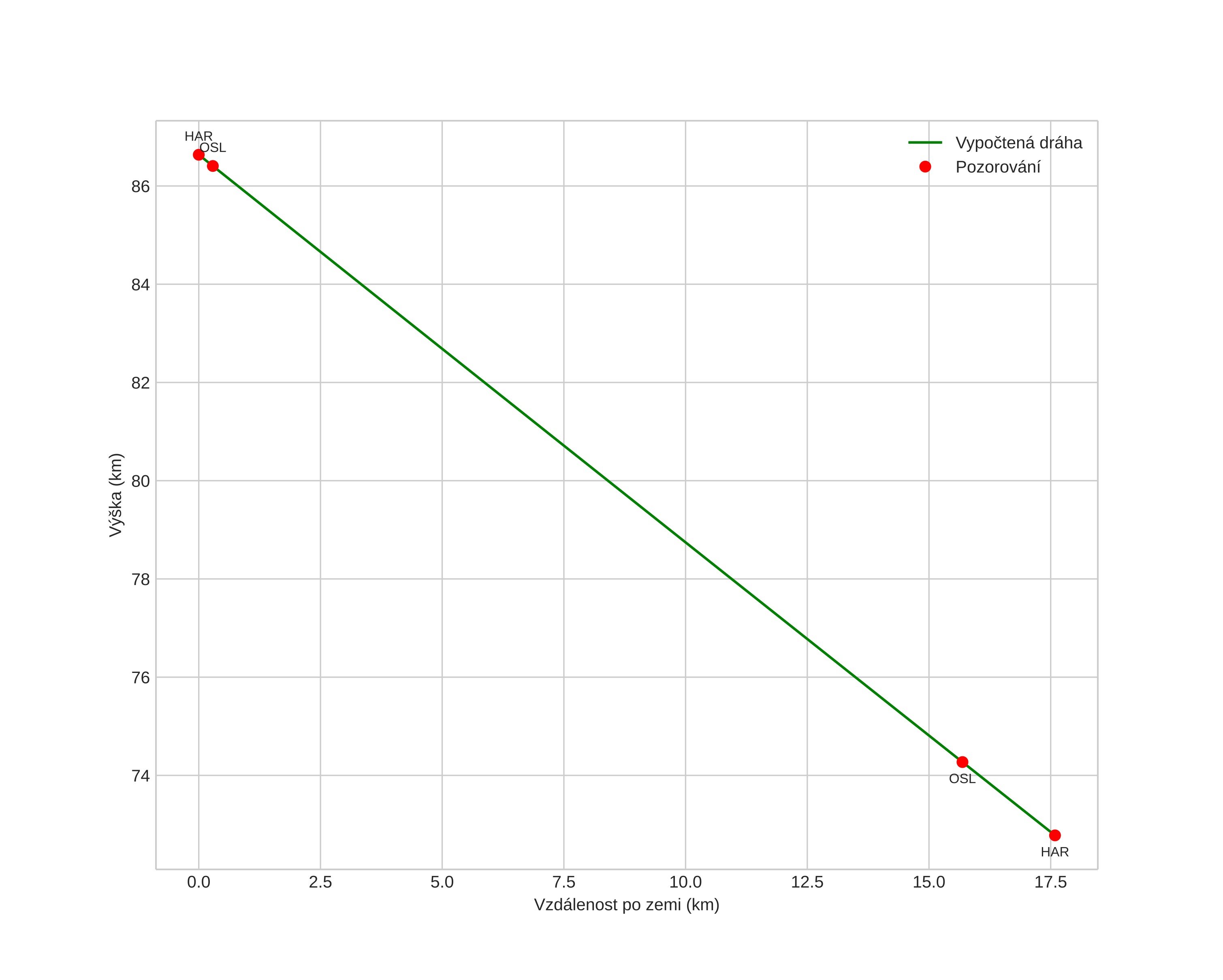
Atmosférická dráha meteoru:
Počáteční výška: 87,2 km
Konečná výška: 73,4 km
Počáteční poloha: 60,444N 11,233E
Konečná poloha: 60,436N 10,930E
Směr: 267,0°
Sklon: 39,7°
VstupnĂ­ rychlost: 35,0 km/s
Rektascenze radiantu: 07:08 (107,2°)
Deklinace radiantu: 34,1°
MeteorickĂ˝ roj: Geminidy
Elementy dráhy meteoroidu:
Vzdálenost v periheliu: 0,164 AU
Excentricita: 0,874
Sklon dráhy: 23,2°
Délka vzestupného uzlu: 257,2°
Argument perihelia: 321,9°
Střední anomálie: 334,3°
Epocha: 2019 DEC 09 20:29:12
orbit plot

NeinteraktivnĂ­ graf | InteraktivnĂ­ graf

position vs time
speed and acceleration