🇳🇴 🇬🇧 🇩🇪 🇨🇿 🇫🇮

Meteor Hurdalin yllä 2019-12-09 20:29:12 UTC

KML-tiedosto  |  Interaktiivinen kartta

Kartta näyttää meteorin suuntahavainnot. Vaaleammat viivat näyttävät suunnat havaintoasemilta meteorin ilmestyessä, ja tummemmat viivat näyttävät, missä se viimeksi nähtiin. Sininen nuoli näyttää meteorin näkyvän lennon.

static map
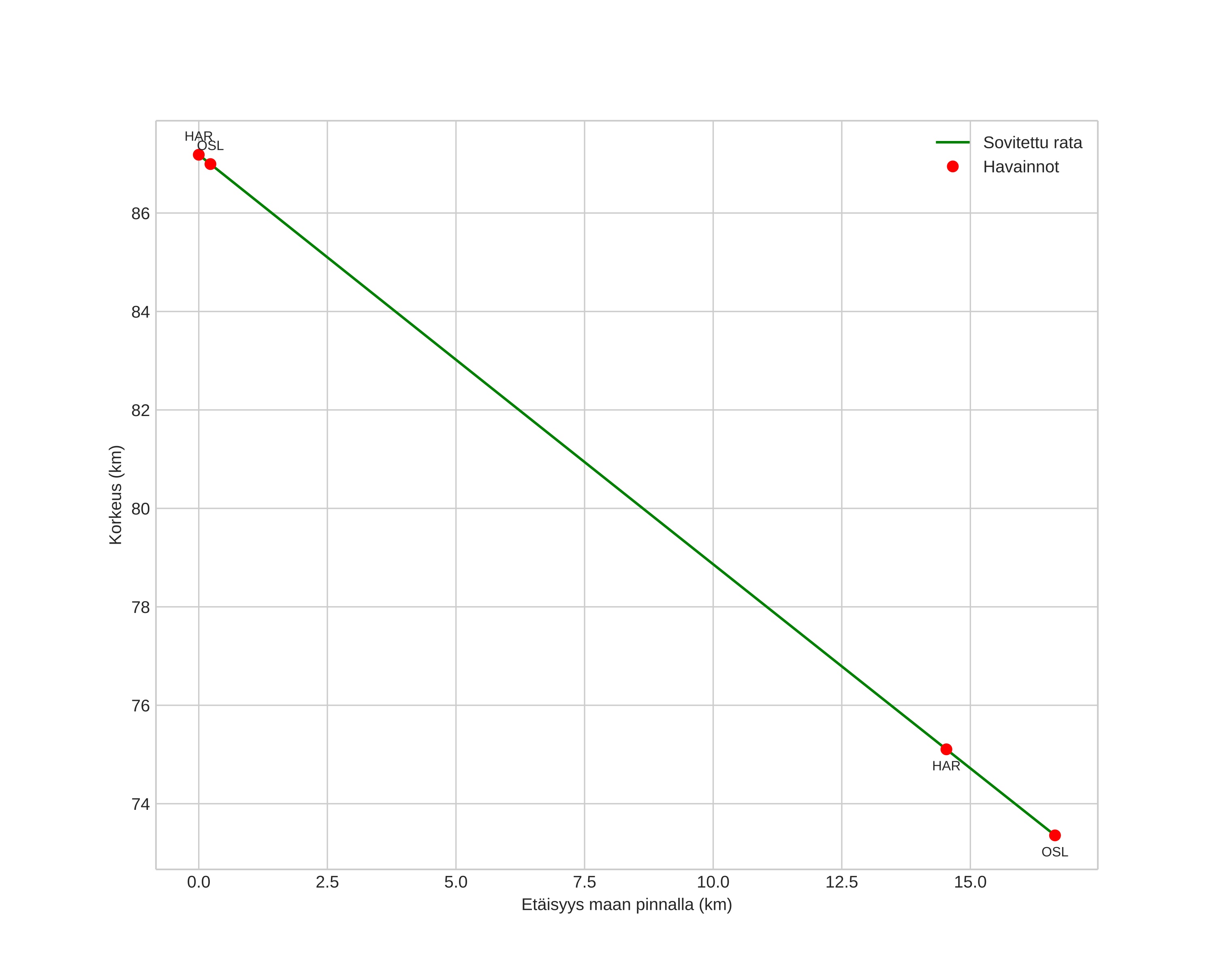
height profile
Meteorin ilmakehärata:
Alkukorkeus: 87,2 km
Loppukorkeus: 73,4 km
Alkupiste: 60,444N 11,233E
Loppupiste: 60,436N 10,930E
Suunta: 267,0°
Kallistuskulma: 39,7°
Tulonopeus: 35,0 km/s
Radiantin R,A,: 07:08 (107,2°)
Radiantin Dekl,: 34,1°
Meteoriparvi: Geminidit
Meteoroidin rataelementit:
Perihelietäisyys: 0,164 AU
Eksentrisyys: 0,874
Inklinaatio: 23,2°
Nousevan solmun pituus: 257,2°
Perihelin argumentti: 321,9°
Keskianomalia: 334,3°
Epookki: 2019 DEC 09 20:29:12
orbit plot

Ei-interaktiivinen kuvaaja | Interaktiivinen kuvaaja

position vs time
speed and acceleration