🇳🇴 🇬🇧 🇩🇪 🇨🇿 🇫🇮

Meteor, poloha: SkĂĄlevik 2019-12-09 21:35:18 UTC

Soubor KML  |  InteraktivnĂ­ mapa

Mapa zobrazuje dráhy meteoru. Světlejší čáry ukazují směry od pozorovacích stanic při objevení se meteoru a tmavší čáry, kde byl naposledy viděn. Modrá šipka značí viditelnou dráhu meteoru.

static map
height profile
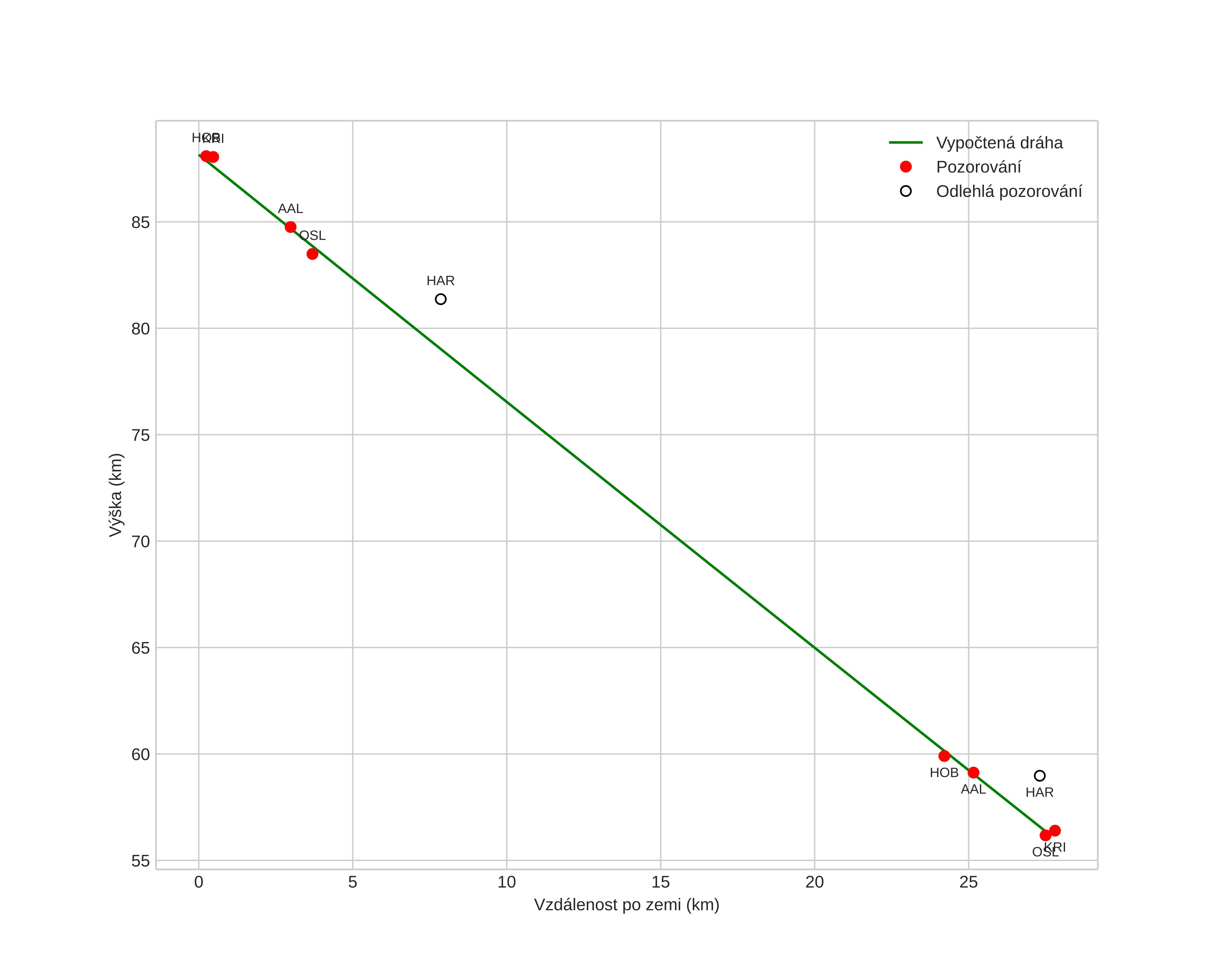
Atmosférická dráha meteoru:
Počáteční výška: 88,9 km
Konečná výška: 56,2 km
Počáteční poloha: 57,543N 8,824E
Konečná poloha: 57,664N 8,405E
Směr: 298,5°
Sklon: 49,1°
VstupnĂ­ rychlost: 32,3 km/s
Rektascenze radiantu: 06:06 (91,7°)
Deklinace radiantu: 26,9°
MeteorickĂ˝ roj: SevernĂ­ Tauridy
Elementy dráhy meteoroidu:
Vzdálenost v periheliu: 0,308 AU
Excentricita: 0,856
Sklon dráhy: 4,6°
Délka vzestupného uzlu: 257,2°
Argument perihelia: 299,3°
Střední anomálie: 347,2°
Epocha: 2019 DEC 09 21:35:18
orbit plot

NeinteraktivnĂ­ graf | InteraktivnĂ­ graf

position vs time
speed and acceleration