🇳🇴 🇬🇧 🇩🇪 🇨🇿 🇫🇮

Meteor Skålevikin yllä 2019-12-09 21:35:18 UTC

KML-tiedosto  |  Interaktiivinen kartta

Kartta näyttää meteorin suuntahavainnot. Vaaleammat viivat näyttävät suunnat havaintoasemilta meteorin ilmestyessä, ja tummemmat viivat näyttävät, missä se viimeksi nähtiin. Sininen nuoli näyttää meteorin näkyvän lennon.

static map
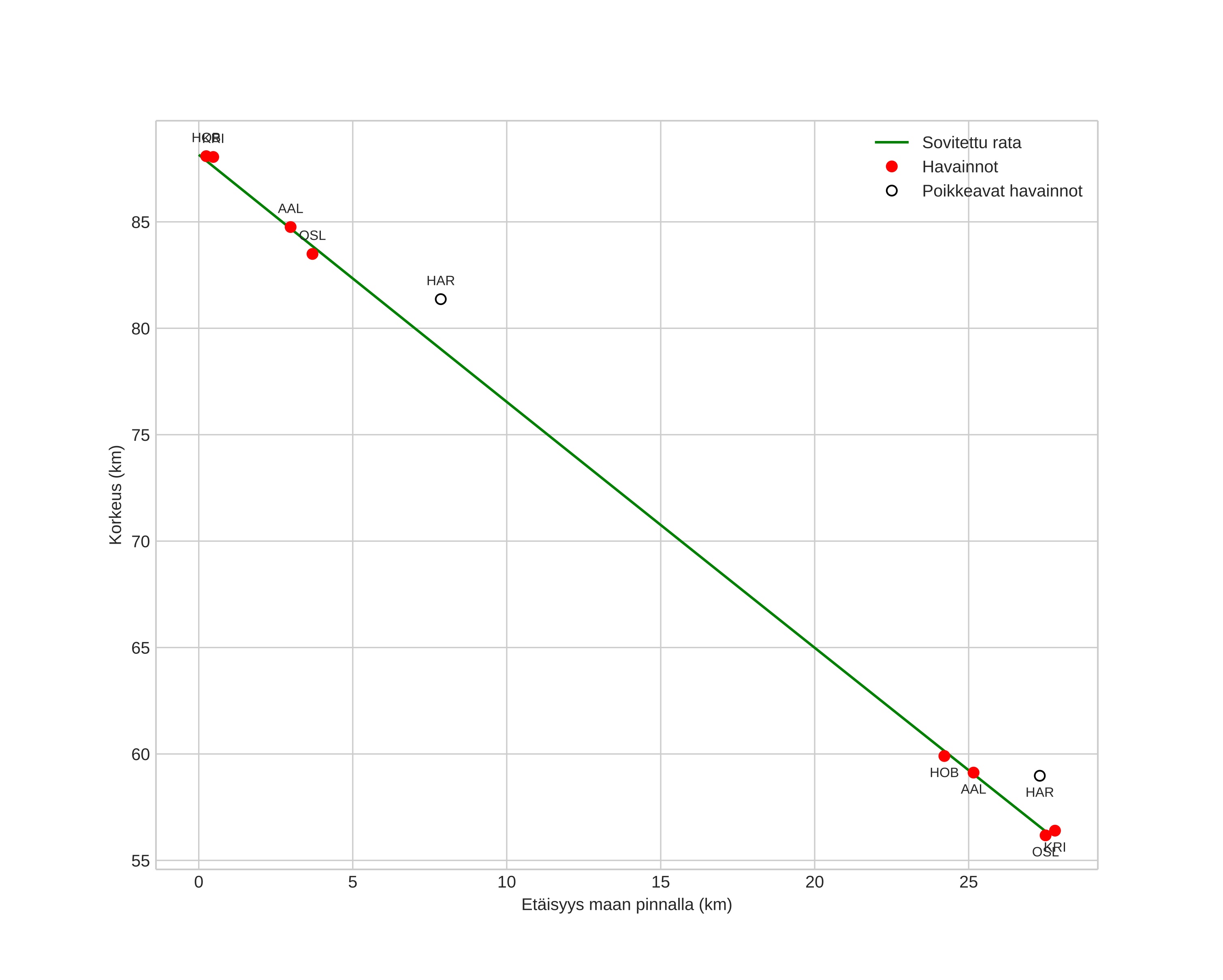
height profile
Meteorin ilmakehärata:
Alkukorkeus: 88,9 km
Loppukorkeus: 56,2 km
Alkupiste: 57,543N 8,824E
Loppupiste: 57,664N 8,405E
Suunta: 298,5°
Kallistuskulma: 49,1°
Tulonopeus: 32,3 km/s
Radiantin R,A,: 06:06 (91,7°)
Radiantin Dekl,: 26,9°
Meteoriparvi: Pohjoiset tauridit
Meteoroidin rataelementit:
Perihelietäisyys: 0,308 AU
Eksentrisyys: 0,856
Inklinaatio: 4,6°
Nousevan solmun pituus: 257,2°
Perihelin argumentti: 299,3°
Keskianomalia: 347,2°
Epookki: 2019 DEC 09 21:35:18
orbit plot

Ei-interaktiivinen kuvaaja | Interaktiivinen kuvaaja

position vs time
speed and acceleration