🇳🇴 🇬🇧 🇩🇪 🇨🇿 🇫🇮

Meteor, poloha: Aursmoen 2019-12-10 00:39:32 UTC

Soubor KML  |  InteraktivnĂ­ mapa

Mapa zobrazuje dráhy meteoru. Světlejší čáry ukazují směry od pozorovacích stanic při objevení se meteoru a tmavší čáry, kde byl naposledy viděn. Modrá šipka značí viditelnou dráhu meteoru.

static map
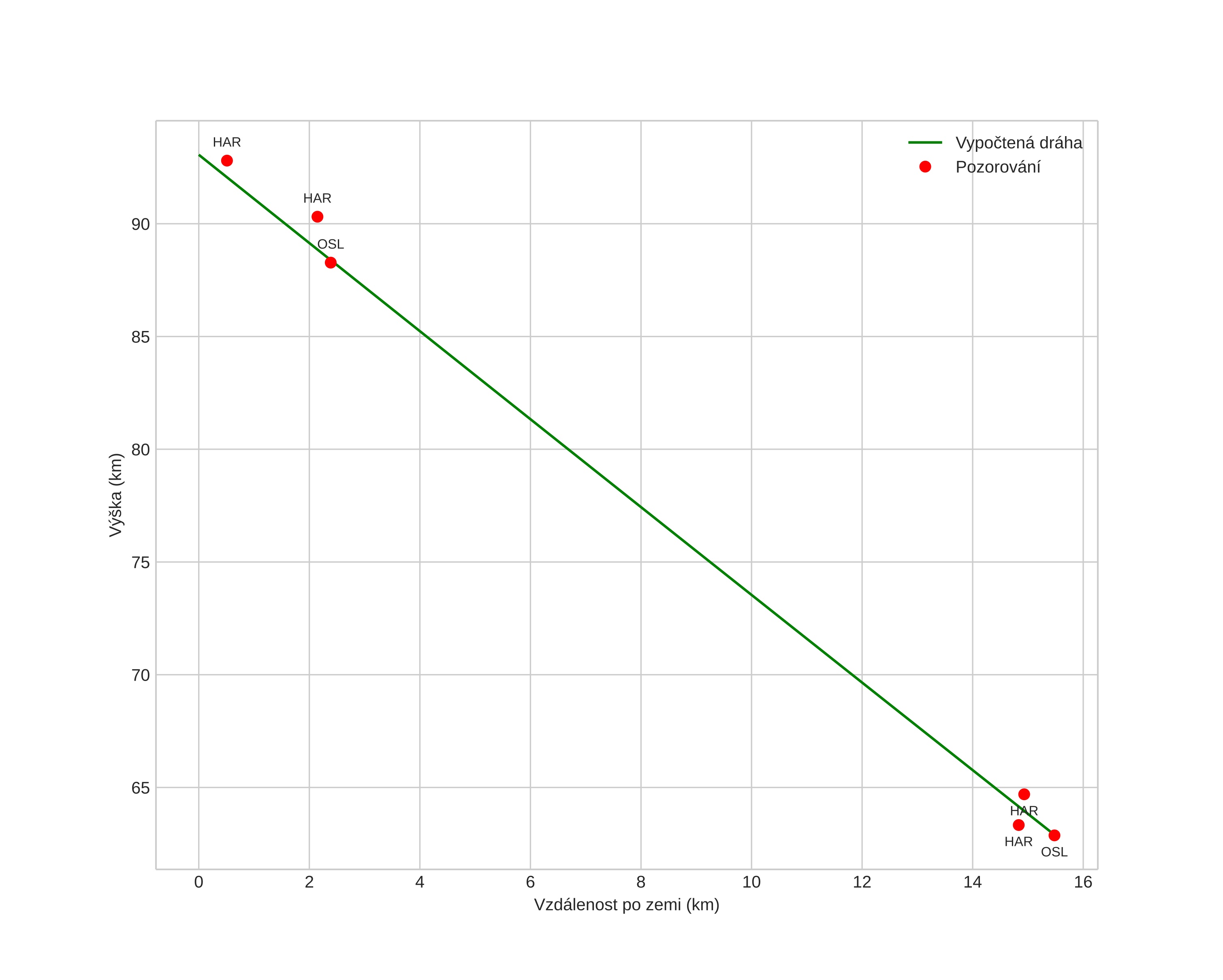
height profile
Atmosférická dráha meteoru:
Počáteční výška: 92,2 km
Konečná výška: 63,0 km
Počáteční poloha: 59,807N 11,529E
Konečná poloha: 59,937N 11,451E
Směr: 343,3°
Sklon: 62,7°
VstupnĂ­ rychlost: 36,8 km/s
Rektascenze radiantu: 07:12 (108,2°)
Deklinace radiantu: 32,4°
MeteorickĂ˝ roj: Geminidy
Elementy dráhy meteoroidu:
Vzdálenost v periheliu: 0,133 AU
Excentricita: 0,906
Sklon dráhy: 23,6°
Délka vzestupného uzlu: 257,4°
Argument perihelia: 325,2°
Střední anomálie: 338,3°
Epocha: 2019 DEC 10 00:39:32
orbit plot

NeinteraktivnĂ­ graf | InteraktivnĂ­ graf

position vs time
speed and acceleration