🇳🇴 🇬🇧 🇩🇪 🇨🇿 🇫🇮

Meteor Aursmoenin yllä 2019-12-10 00:39:32 UTC

KML-tiedosto  |  Interaktiivinen kartta

Kartta näyttää meteorin suuntahavainnot. Vaaleammat viivat näyttävät suunnat havaintoasemilta meteorin ilmestyessä, ja tummemmat viivat näyttävät, missä se viimeksi nähtiin. Sininen nuoli näyttää meteorin näkyvän lennon.

static map
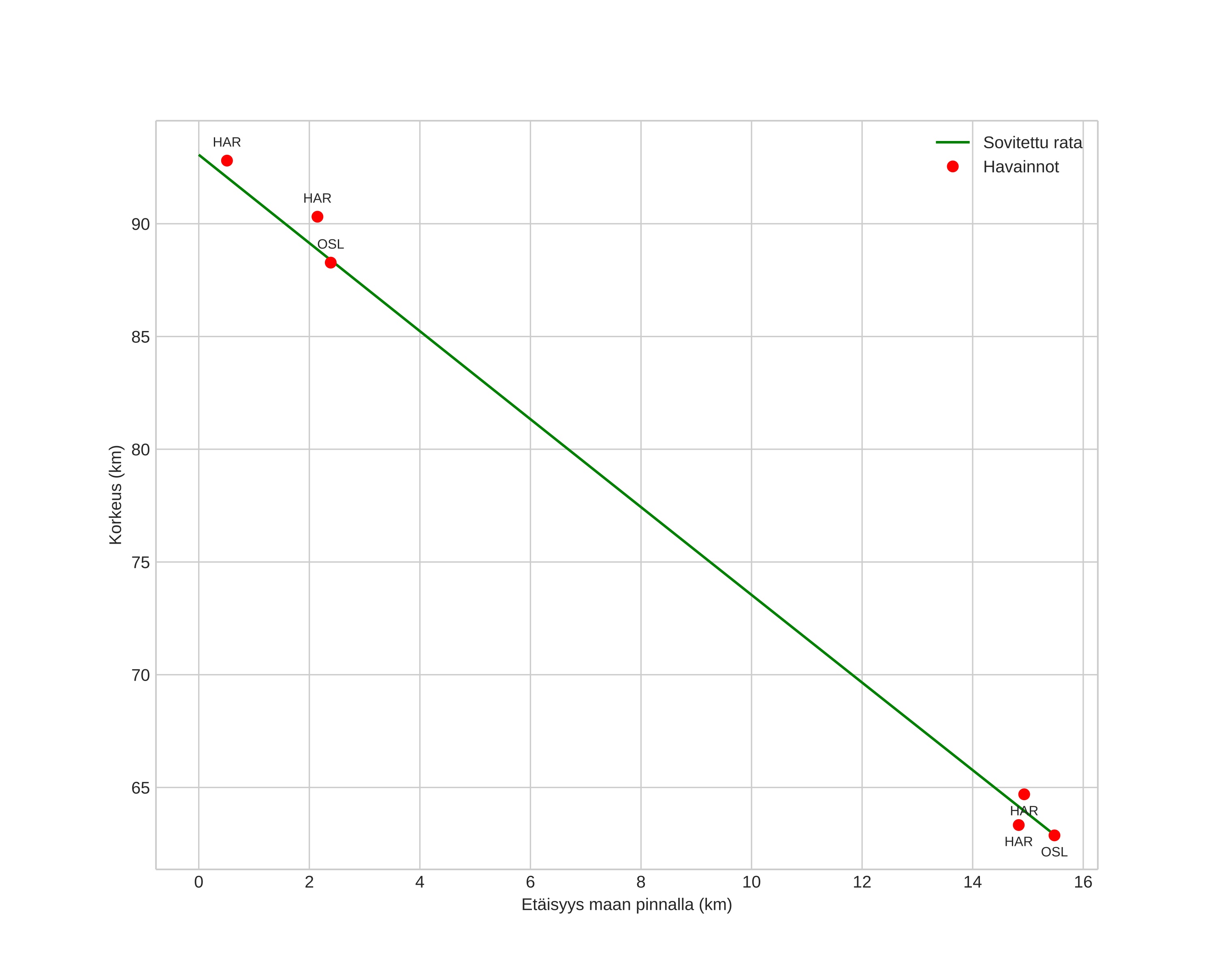
height profile
Meteorin ilmakehärata:
Alkukorkeus: 92,2 km
Loppukorkeus: 63,0 km
Alkupiste: 59,807N 11,529E
Loppupiste: 59,937N 11,451E
Suunta: 343,3°
Kallistuskulma: 62,7°
Tulonopeus: 36,8 km/s
Radiantin R,A,: 07:12 (108,2°)
Radiantin Dekl,: 32,4°
Meteoriparvi: Geminidit
Meteoroidin rataelementit:
Perihelietäisyys: 0,133 AU
Eksentrisyys: 0,906
Inklinaatio: 23,6°
Nousevan solmun pituus: 257,4°
Perihelin argumentti: 325,2°
Keskianomalia: 338,3°
Epookki: 2019 DEC 10 00:39:32
orbit plot

Ei-interaktiivinen kuvaaja | Interaktiivinen kuvaaja

position vs time
speed and acceleration