🇳🇴 🇬🇧 🇩🇪 🇨🇿 🇫🇮

Meteor, poloha: Sykkylven 2019-12-15 00:16:20 UTC

Soubor KML  |  InteraktivnĂ­ mapa

Mapa zobrazuje dráhy meteoru. Světlejší čáry ukazují směry od pozorovacích stanic při objevení se meteoru a tmavší čáry, kde byl naposledy viděn. Modrá šipka značí viditelnou dráhu meteoru.

static map
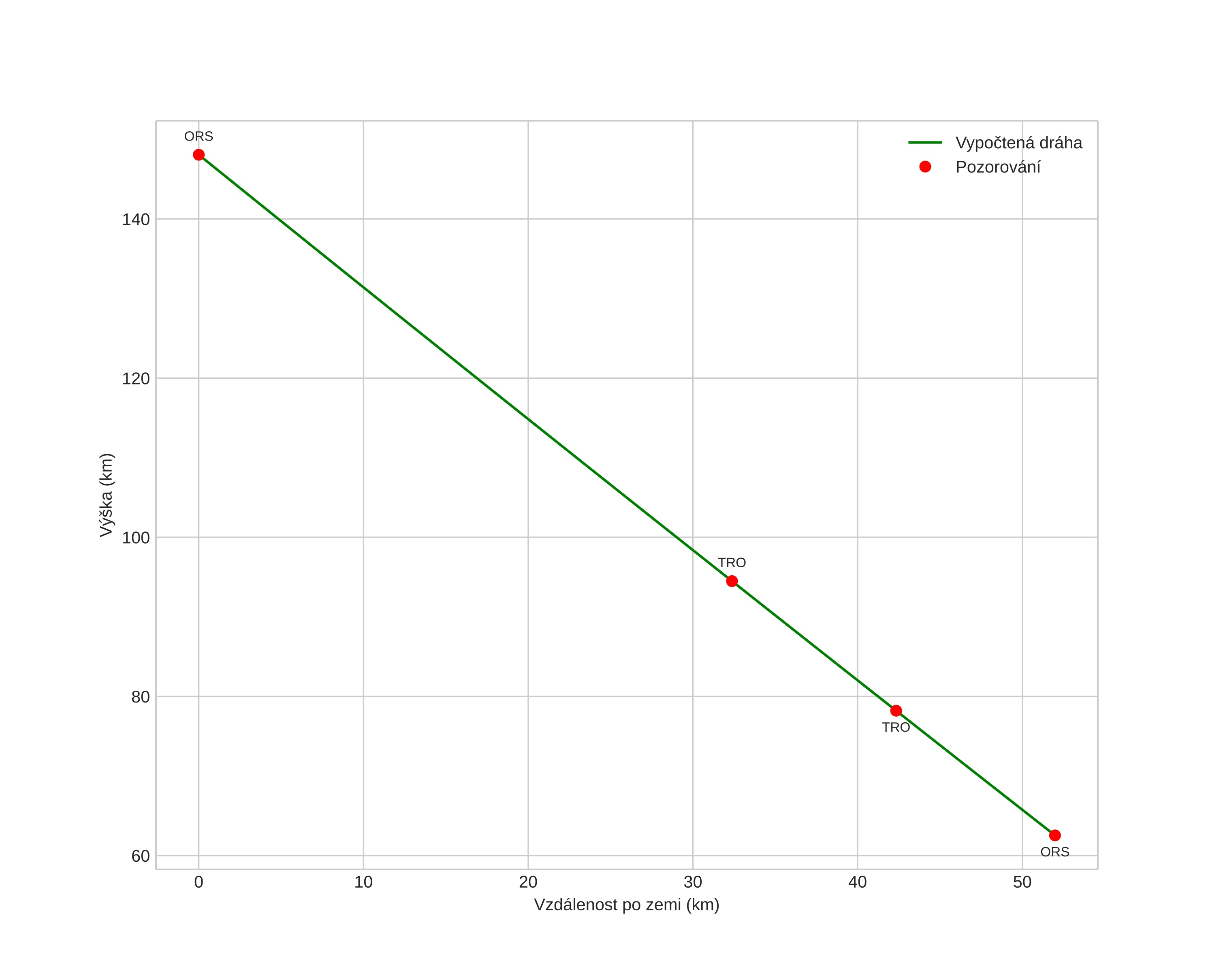
height profile
Atmosférická dráha meteoru:
Počáteční výška: 106,5 km
Konečná výška: 65,5 km
Počáteční poloha: 62,098N 6,890E
Konečná poloha: 62,293N 6,627E
Směr: 327,9°
Sklon: 58,0°
VstupnĂ­ rychlost: 36,0 km/s
Rektascenze radiantu: 07:33 (113,3°)
Deklinace radiantu: 31,9°
MeteorickĂ˝ roj: Geminidy
Elementy dráhy meteoroidu:
Vzdálenost v periheliu: 0,145 AU
Excentricita: 0,894
Sklon dráhy: 22,1°
Délka vzestupného uzlu: 262,4°
Argument perihelia: 323,8°
Střední anomálie: 336,9°
Epocha: 2019 DEC 15 00:16:20
orbit plot

NeinteraktivnĂ­ graf | InteraktivnĂ­ graf

position vs time
speed and acceleration