🇳🇴 🇬🇧 🇩🇪 🇨🇿 🇫🇮

Meteor Sykkylvenin yllä 2019-12-15 00:16:20 UTC

KML-tiedosto  |  Interaktiivinen kartta

Kartta näyttää meteorin suuntahavainnot. Vaaleammat viivat näyttävät suunnat havaintoasemilta meteorin ilmestyessä, ja tummemmat viivat näyttävät, missä se viimeksi nähtiin. Sininen nuoli näyttää meteorin näkyvän lennon.

static map
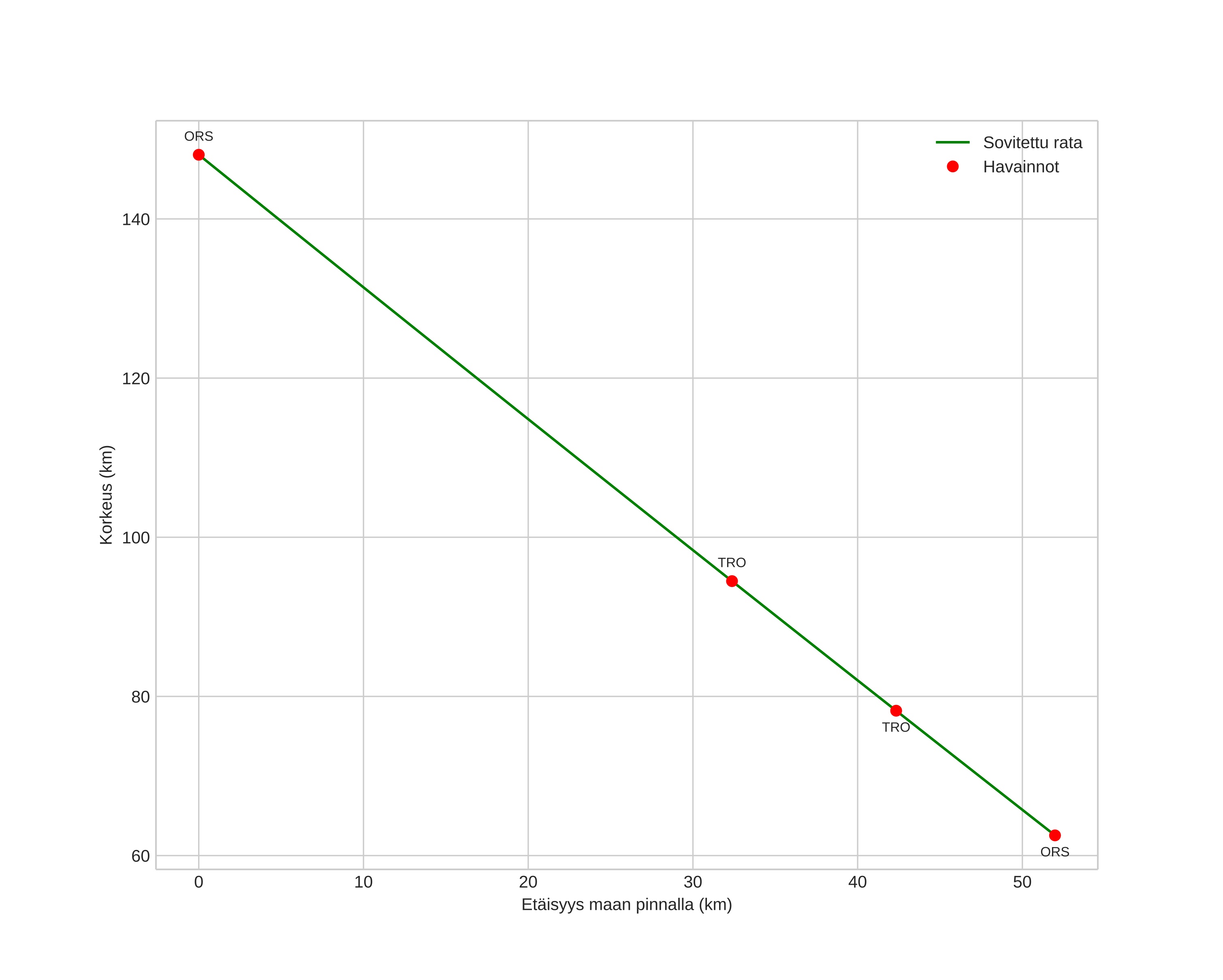
height profile
Meteorin ilmakehärata:
Alkukorkeus: 106,5 km
Loppukorkeus: 65,5 km
Alkupiste: 62,098N 6,890E
Loppupiste: 62,293N 6,627E
Suunta: 327,9°
Kallistuskulma: 58,0°
Tulonopeus: 36,0 km/s
Radiantin R,A,: 07:33 (113,3°)
Radiantin Dekl,: 31,9°
Meteoriparvi: Geminidit
Meteoroidin rataelementit:
Perihelietäisyys: 0,145 AU
Eksentrisyys: 0,894
Inklinaatio: 22,1°
Nousevan solmun pituus: 262,4°
Perihelin argumentti: 323,8°
Keskianomalia: 336,9°
Epookki: 2019 DEC 15 00:16:20
orbit plot

Ei-interaktiivinen kuvaaja | Interaktiivinen kuvaaja

position vs time
speed and acceleration