🇳🇴 🇬🇧 🇩🇪 🇨🇿 🇫🇮

Meteor, poloha: Tynset 2019-12-15 02:54:58 UTC

Soubor KML  |  InteraktivnĂ­ mapa

Mapa zobrazuje dráhy meteoru. Světlejší čáry ukazují směry od pozorovacích stanic při objevení se meteoru a tmavší čáry, kde byl naposledy viděn. Modrá šipka značí viditelnou dráhu meteoru.

static map
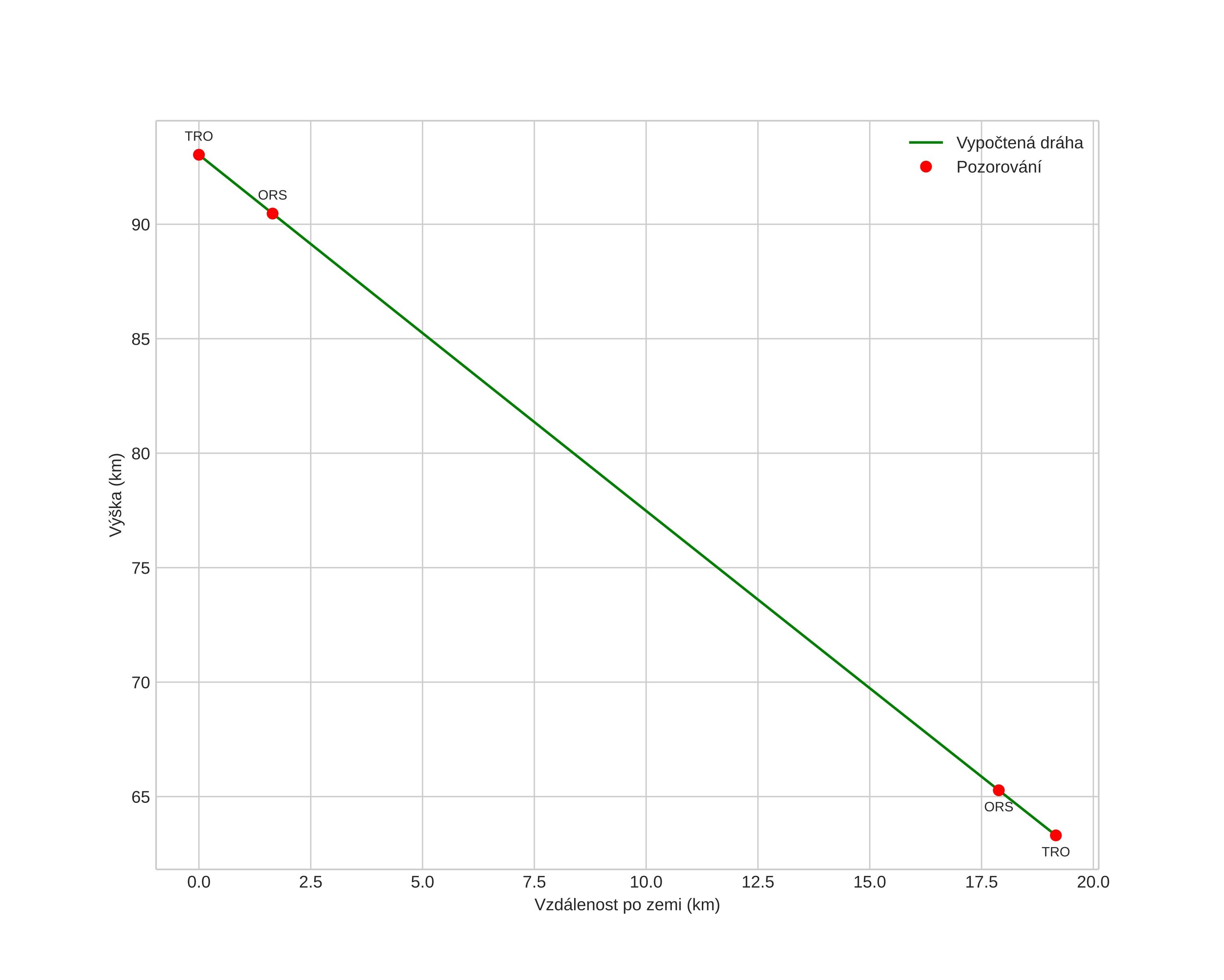
height profile
Atmosférická dráha meteoru:
Počáteční výška: 95,0 km
Konečná výška: 63,4 km
Počáteční poloha: 62,390N 10,194E
Konečná poloha: 62,538N 10,432E
Směr: 36,6°
Sklon: 57,1°
VstupnĂ­ rychlost: 36,9 km/s
Rektascenze radiantu: 07:34 (113,7°)
Deklinace radiantu: 31,9°
MeteorickĂ˝ roj: Geminidy
Elementy dráhy meteoroidu:
Vzdálenost v periheliu: 0,135 AU
Excentricita: 0,907
Sklon dráhy: 23,8°
Délka vzestupného uzlu: 262,5°
Argument perihelia: 324,5°
Střední anomálie: 339,3°
Epocha: 2019 DEC 15 02:54:58
orbit plot

NeinteraktivnĂ­ graf | InteraktivnĂ­ graf

position vs time
speed and acceleration