🇳🇴 🇬🇧 🇩🇪 🇨🇿 🇫🇮

Meteor Tynsetin yllä 2019-12-15 02:54:58 UTC

KML-tiedosto  |  Interaktiivinen kartta

Kartta näyttää meteorin suuntahavainnot. Vaaleammat viivat näyttävät suunnat havaintoasemilta meteorin ilmestyessä, ja tummemmat viivat näyttävät, missä se viimeksi nähtiin. Sininen nuoli näyttää meteorin näkyvän lennon.

static map
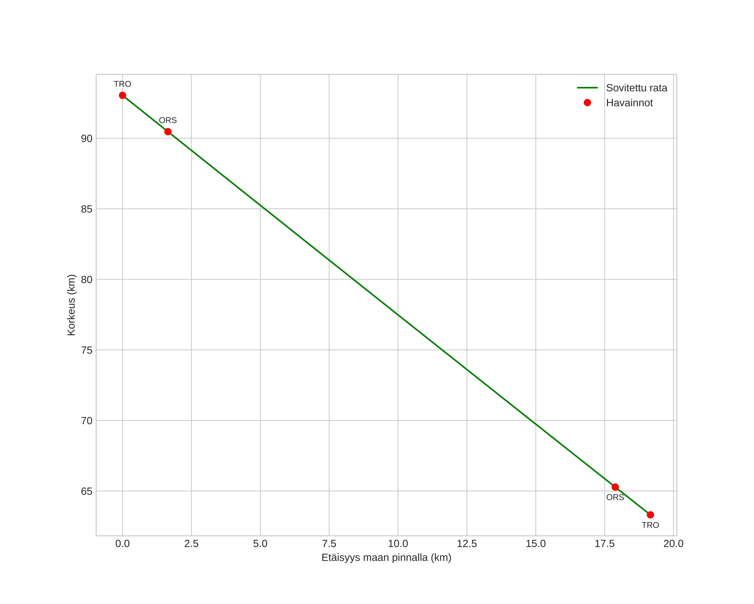
height profile
Meteorin ilmakehärata:
Alkukorkeus: 95,0 km
Loppukorkeus: 63,4 km
Alkupiste: 62,390N 10,194E
Loppupiste: 62,538N 10,432E
Suunta: 36,6°
Kallistuskulma: 57,1°
Tulonopeus: 36,9 km/s
Radiantin R,A,: 07:34 (113,7°)
Radiantin Dekl,: 31,9°
Meteoriparvi: Geminidit
Meteoroidin rataelementit:
Perihelietäisyys: 0,135 AU
Eksentrisyys: 0,907
Inklinaatio: 23,8°
Nousevan solmun pituus: 262,5°
Perihelin argumentti: 324,5°
Keskianomalia: 339,3°
Epookki: 2019 DEC 15 02:54:58
orbit plot

Ei-interaktiivinen kuvaaja | Interaktiivinen kuvaaja

position vs time
speed and acceleration