🇳🇴 🇬🇧 🇩🇪 🇨🇿 🇫🇮

Meteor, poloha: Rättvik 2019-12-18 17:25:16 UTC

Soubor KML  |  InteraktivnĂ­ mapa

Mapa zobrazuje dráhy meteoru. Světlejší čáry ukazují směry od pozorovacích stanic při objevení se meteoru a tmavší čáry, kde byl naposledy viděn. Modrá šipka značí viditelnou dráhu meteoru.

static map
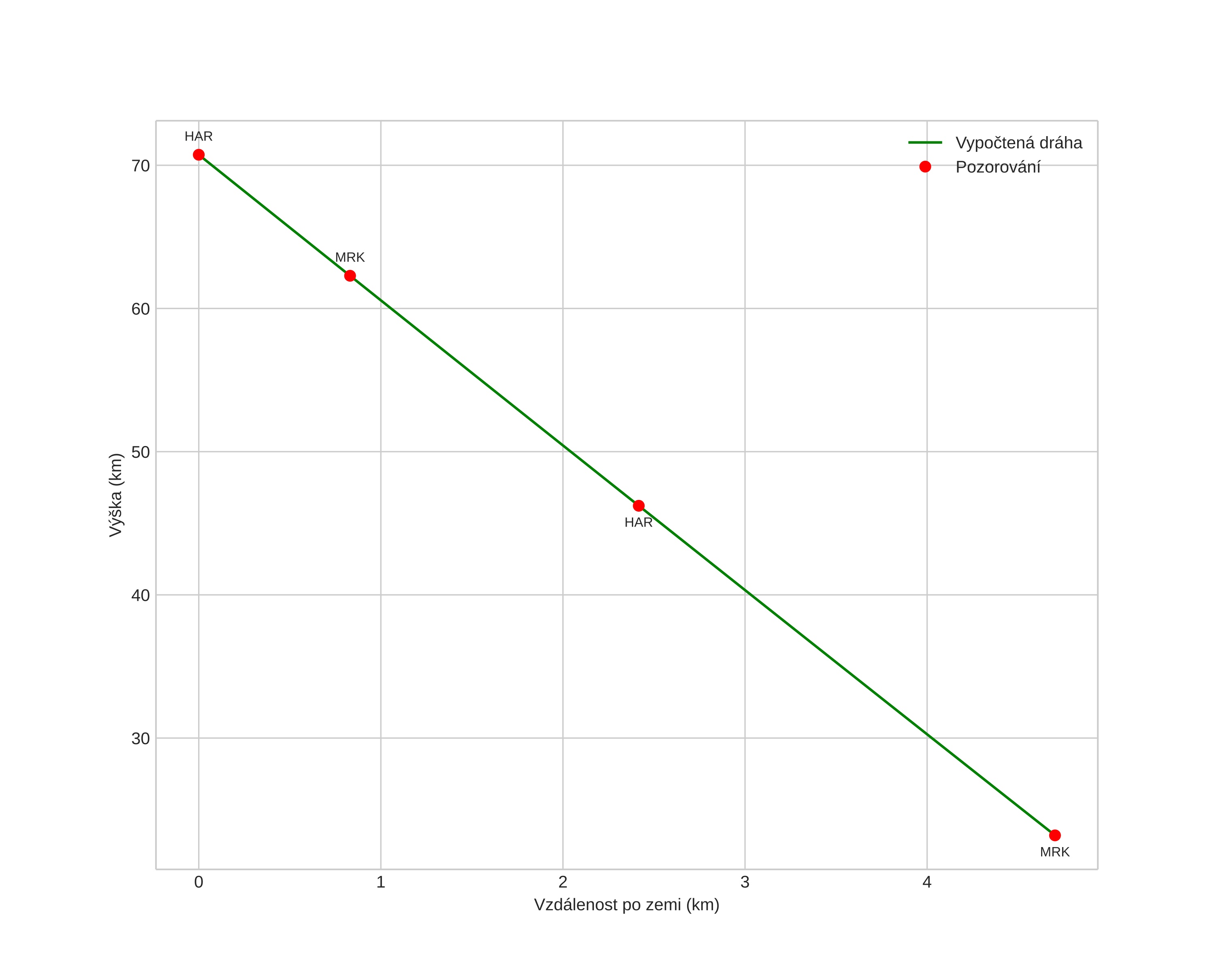
height profile
Atmosférická dráha meteoru:
Počáteční výška: 66,9 km
Konečná výška: 22,5 km
Počáteční poloha: 61,110N 15,303E
Konečná poloha: 61,125N 15,338E
Směr: 48,1°
Sklon: 86,7°
VstupnĂ­ rychlost: 13,1 km/s
Rektascenze radiantu: 23:39 (354,9°)
Deklinace radiantu: 57,7°
MeteorickĂ˝ roj: sporadickĂ˝
Elementy dráhy meteoroidu:
Vzdálenost v periheliu: 0,974 AU
Excentricita: 0,316
Sklon dráhy: 9,3°
Délka vzestupného uzlu: 266,2°
Argument perihelia: 196,8°
Střední anomálie: 351,7°
Epocha: 2019 DEC 18 17:25:16
orbit plot

NeinteraktivnĂ­ graf | InteraktivnĂ­ graf

position vs time
speed and acceleration