🇳🇴 🇬🇧 🇩🇪 🇨🇿 🇫🇮

Meteor Rättvikin yllä 2019-12-18 17:25:16 UTC

KML-tiedosto  |  Interaktiivinen kartta

Kartta näyttää meteorin suuntahavainnot. Vaaleammat viivat näyttävät suunnat havaintoasemilta meteorin ilmestyessä, ja tummemmat viivat näyttävät, missä se viimeksi nähtiin. Sininen nuoli näyttää meteorin näkyvän lennon.

static map
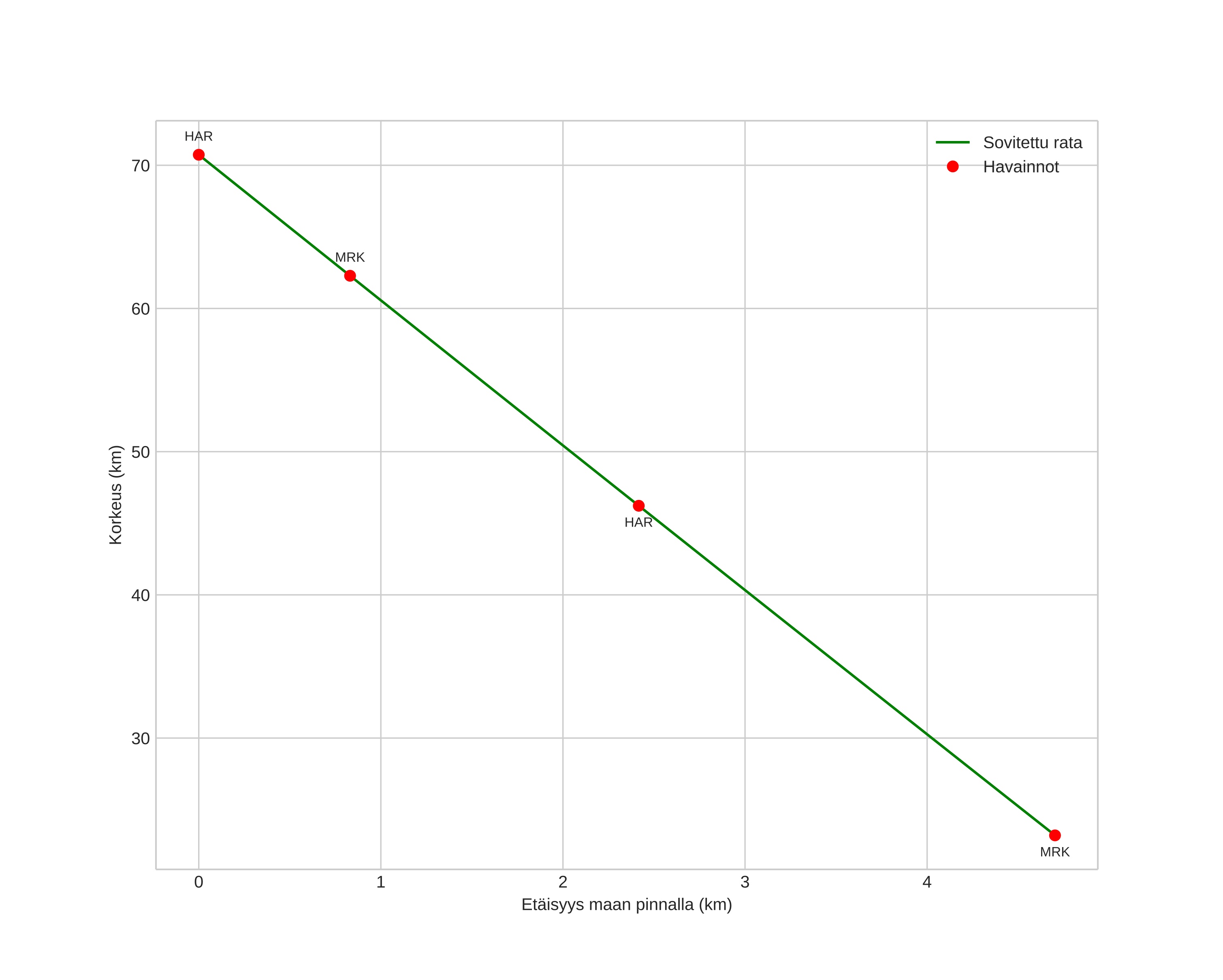
height profile
Meteorin ilmakehärata:
Alkukorkeus: 66,9 km
Loppukorkeus: 22,5 km
Alkupiste: 61,110N 15,303E
Loppupiste: 61,125N 15,338E
Suunta: 48,1°
Kallistuskulma: 86,7°
Tulonopeus: 13,1 km/s
Radiantin R,A,: 23:39 (354,9°)
Radiantin Dekl,: 57,7°
Meteoriparvi: Sporadinen
Meteoroidin rataelementit:
Perihelietäisyys: 0,974 AU
Eksentrisyys: 0,316
Inklinaatio: 9,3°
Nousevan solmun pituus: 266,2°
Perihelin argumentti: 196,8°
Keskianomalia: 351,7°
Epookki: 2019 DEC 18 17:25:16
orbit plot

Ei-interaktiivinen kuvaaja | Interaktiivinen kuvaaja

position vs time
speed and acceleration