🇳🇴 🇬🇧 🇩🇪 🇨🇿 🇫🇮

Meteor, poloha: Alvdal 2019-12-23 21:10:16 UTC

Soubor KML  |  InteraktivnĂ­ mapa

Mapa zobrazuje dráhy meteoru. Světlejší čáry ukazují směry od pozorovacích stanic při objevení se meteoru a tmavší čáry, kde byl naposledy viděn. Modrá šipka značí viditelnou dráhu meteoru.

static map
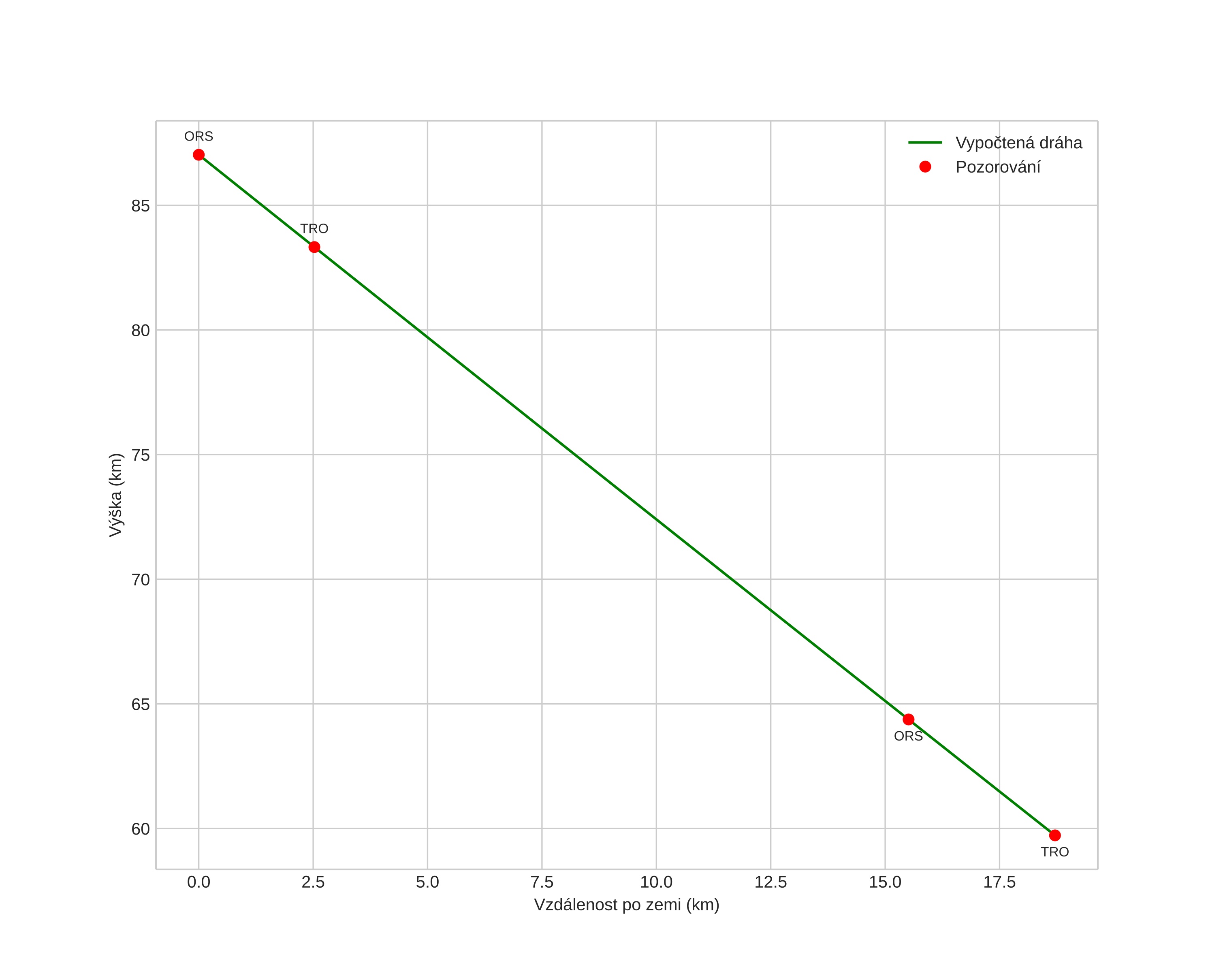
height profile
Atmosférická dráha meteoru:
Počáteční výška: 87,1 km
Konečná výška: 57,4 km
Počáteční poloha: 62,420N 10,306E
Konečná poloha: 62,249N 10,363E
Směr: 171,2°
Sklon: 57,1°
VstupnĂ­ rychlost: 29,2 km/s
Rektascenze radiantu: 18:45 (281,4°)
Deklinace radiantu: 81,8°
MeteorickĂ˝ roj: sporadickĂ˝
Elementy dráhy meteoroidu:
Vzdálenost v periheliu: 0,952 AU
Excentricita: 0,896
Sklon dráhy: 39,8°
Délka vzestupného uzlu: 271,5°
Argument perihelia: 201,4°
Střední anomálie: 359,5°
Epocha: 2019 DEC 23 21:10:16
orbit plot

NeinteraktivnĂ­ graf | InteraktivnĂ­ graf

position vs time
speed and acceleration