🇳🇴 🇬🇧 🇩🇪 🇨🇿 🇫🇮

Meteor Alvdalin yllä 2019-12-23 21:10:16 UTC

KML-tiedosto  |  Interaktiivinen kartta

Kartta näyttää meteorin suuntahavainnot. Vaaleammat viivat näyttävät suunnat havaintoasemilta meteorin ilmestyessä, ja tummemmat viivat näyttävät, missä se viimeksi nähtiin. Sininen nuoli näyttää meteorin näkyvän lennon.

static map
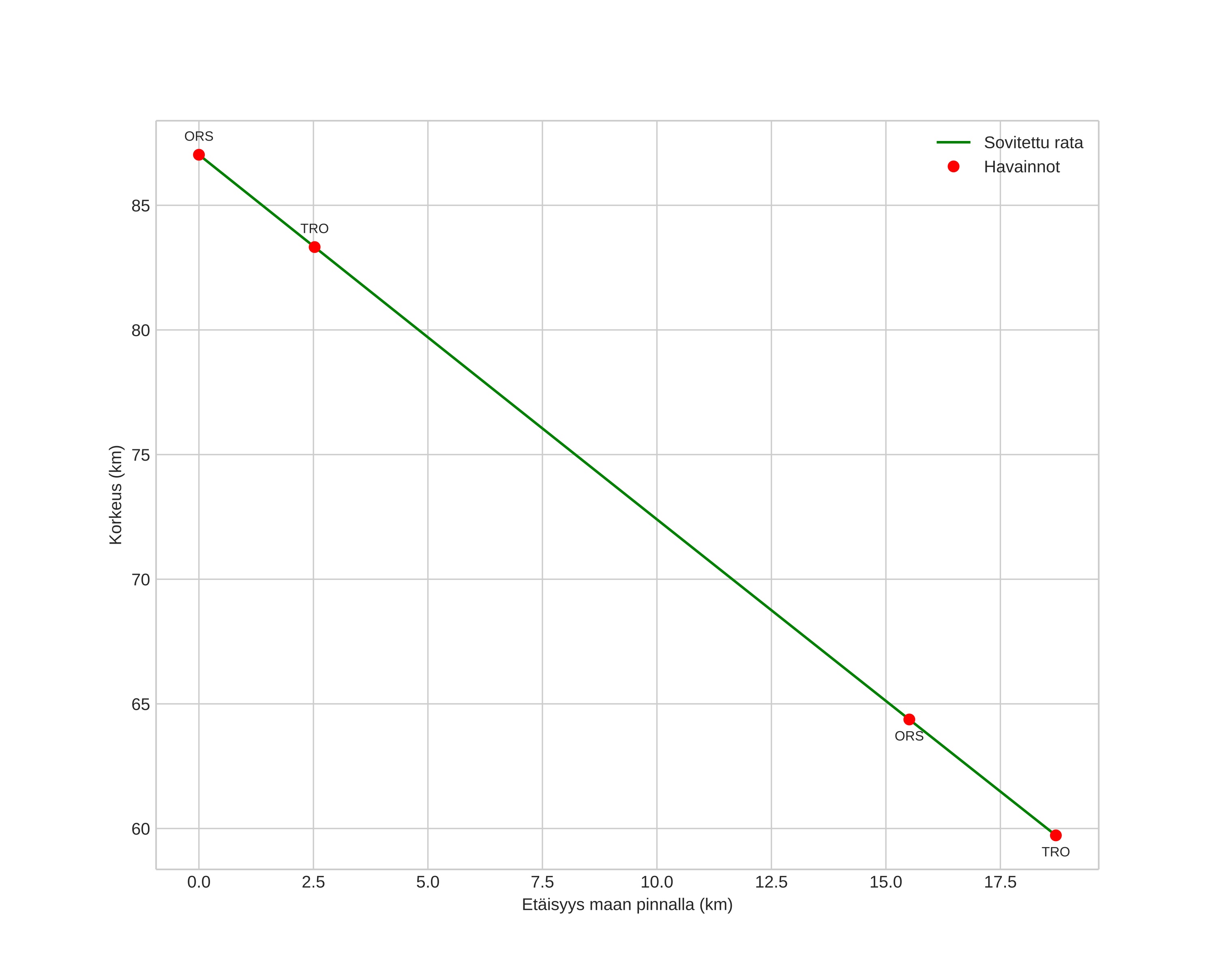
height profile
Meteorin ilmakehärata:
Alkukorkeus: 87,1 km
Loppukorkeus: 57,4 km
Alkupiste: 62,420N 10,306E
Loppupiste: 62,249N 10,363E
Suunta: 171,2°
Kallistuskulma: 57,1°
Tulonopeus: 29,2 km/s
Radiantin R,A,: 18:45 (281,4°)
Radiantin Dekl,: 81,8°
Meteoriparvi: Sporadinen
Meteoroidin rataelementit:
Perihelietäisyys: 0,952 AU
Eksentrisyys: 0,896
Inklinaatio: 39,8°
Nousevan solmun pituus: 271,5°
Perihelin argumentti: 201,4°
Keskianomalia: 359,5°
Epookki: 2019 DEC 23 21:10:16
orbit plot

Ei-interaktiivinen kuvaaja | Interaktiivinen kuvaaja

position vs time
speed and acceleration