🇳🇴 🇬🇧 🇩🇪 🇨🇿 🇫🇮

Meteor, poloha: Brøstadbotn 2019-12-27 22:03:39 UTC

Soubor KML  |  InteraktivnĂ­ mapa

Mapa zobrazuje dráhy meteoru. Světlejší čáry ukazují směry od pozorovacích stanic při objevení se meteoru a tmavší čáry, kde byl naposledy viděn. Modrá šipka značí viditelnou dráhu meteoru.

static map
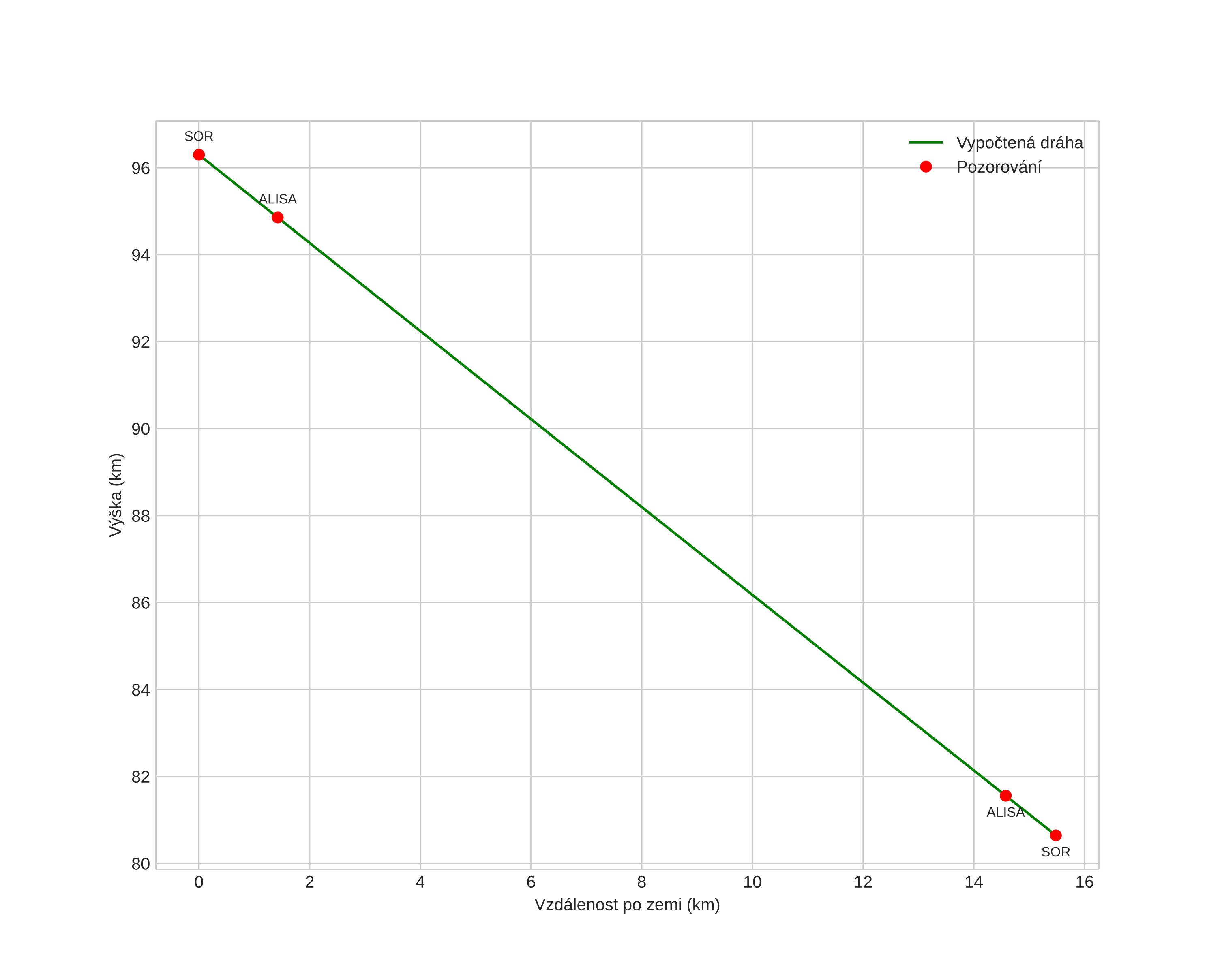
height profile
Atmosférická dráha meteoru:
Počáteční výška: 97,4 km
Konečná výška: 80,6 km
Počáteční poloha: 68,842N 17,879E
Konečná poloha: 68,944N 17,578E
Směr: 313,4°
Sklon: 45,5°
VstupnĂ­ rychlost: 41,3 km/s
Rektascenze radiantu: 08:01 (120,4°)
Deklinace radiantu: 28,6°
MeteorickĂ˝ roj: sporadickĂ˝
Elementy dráhy meteoroidu:
Vzdálenost v periheliu: 0,162 AU
Excentricita: 0,971
Sklon dráhy: 18,7°
Délka vzestupného uzlu: 275,6°
Argument perihelia: 314,2°
Střední anomálie: 357,4°
Epocha: 2019 DEC 27 22:03:39
orbit plot

NeinteraktivnĂ­ graf | InteraktivnĂ­ graf

position vs time
speed and acceleration