🇳🇴 🇬🇧 🇩🇪 🇨🇿 🇫🇮

Meteor Brøstadbotnin yllä 2019-12-27 22:03:39 UTC

KML-tiedosto  |  Interaktiivinen kartta

Kartta näyttää meteorin suuntahavainnot. Vaaleammat viivat näyttävät suunnat havaintoasemilta meteorin ilmestyessä, ja tummemmat viivat näyttävät, missä se viimeksi nähtiin. Sininen nuoli näyttää meteorin näkyvän lennon.

static map
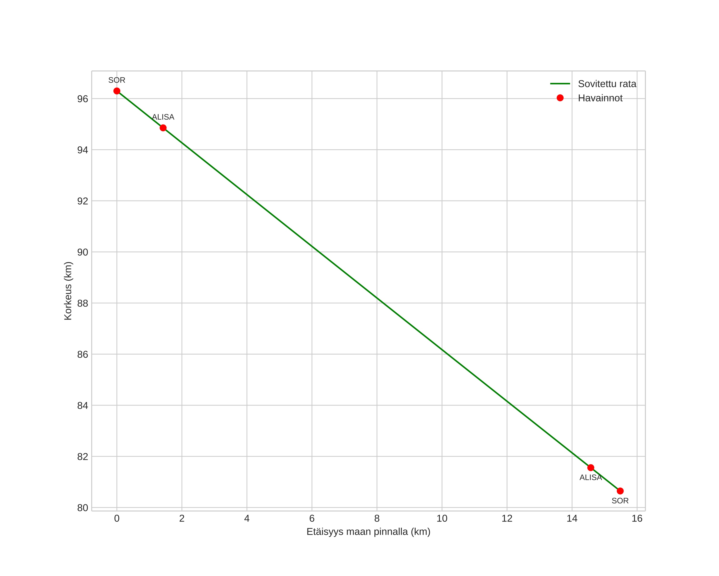
height profile
Meteorin ilmakehärata:
Alkukorkeus: 97,4 km
Loppukorkeus: 80,6 km
Alkupiste: 68,842N 17,879E
Loppupiste: 68,944N 17,578E
Suunta: 313,4°
Kallistuskulma: 45,5°
Tulonopeus: 41,3 km/s
Radiantin R,A,: 08:01 (120,4°)
Radiantin Dekl,: 28,6°
Meteoriparvi: Sporadinen
Meteoroidin rataelementit:
Perihelietäisyys: 0,162 AU
Eksentrisyys: 0,971
Inklinaatio: 18,7°
Nousevan solmun pituus: 275,6°
Perihelin argumentti: 314,2°
Keskianomalia: 357,4°
Epookki: 2019 DEC 27 22:03:39
orbit plot

Ei-interaktiivinen kuvaaja | Interaktiivinen kuvaaja

position vs time
speed and acceleration