🇳🇴 🇬🇧 🇩🇪 🇨🇿 🇫🇮

Meteor, poloha: Gjøvik 2020-01-03 22:46:40 UTC

Soubor KML  |  InteraktivnĂ­ mapa

Mapa zobrazuje dráhy meteoru. Světlejší čáry ukazují směry od pozorovacích stanic při objevení se meteoru a tmavší čáry, kde byl naposledy viděn. Modrá šipka značí viditelnou dráhu meteoru.

static map
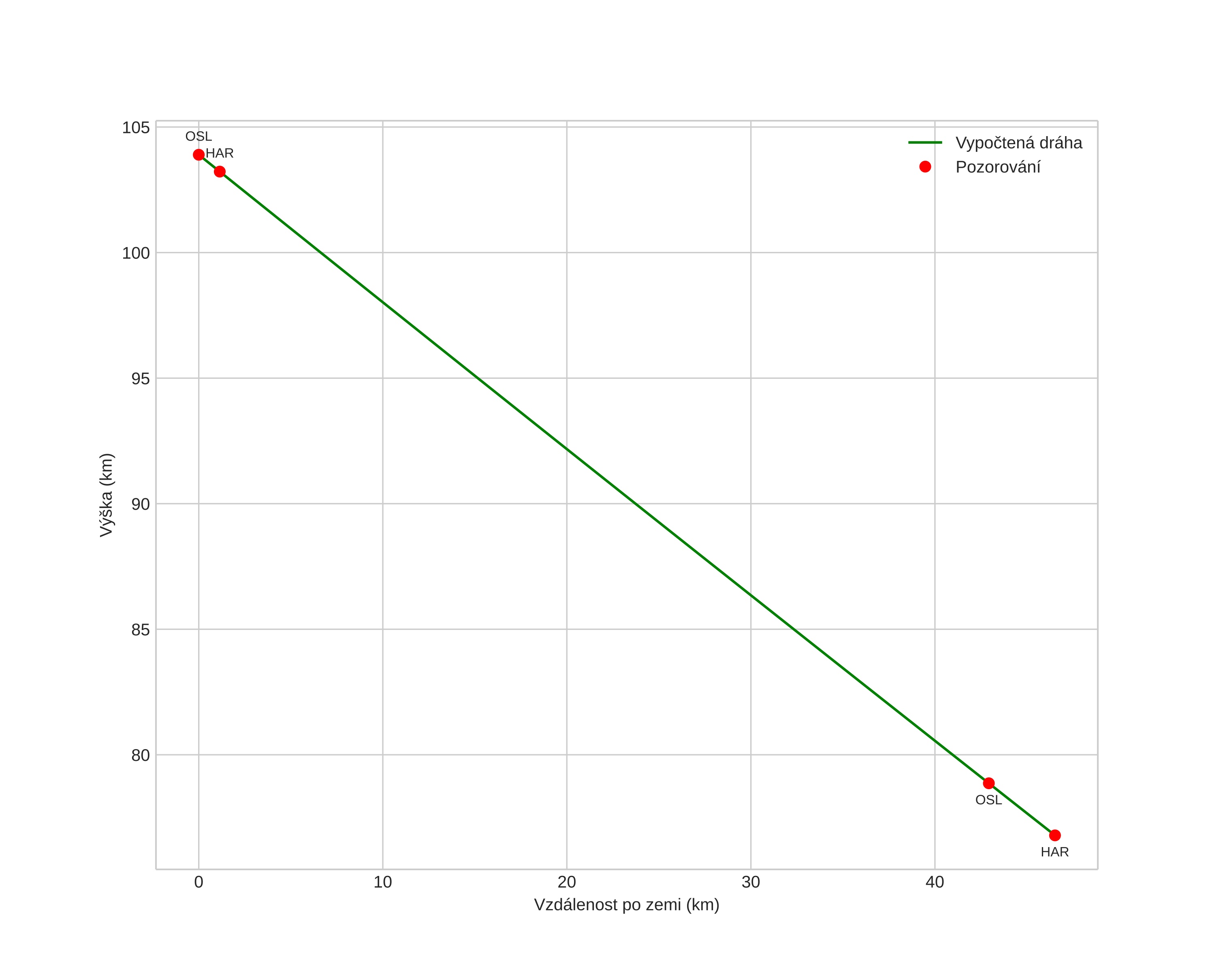
height profile
Atmosférická dráha meteoru:
Počáteční výška: 98,1 km
Konečná výška: 76,4 km
Počáteční poloha: 61,136N 11,174E
Konečná poloha: 60,844N 10,760E
Směr: 214,7°
Sklon: 28,9°
VstupnĂ­ rychlost: 39,2 km/s
Rektascenze radiantu: 15:01 (225,3°)
Deklinace radiantu: 49,4°
MeteorickĂ˝ roj: Kvadrantidy
Elementy dráhy meteoroidu:
Vzdálenost v periheliu: 0,983 AU
Excentricita: 0,385
Sklon dráhy: 69,2°
Délka vzestupného uzlu: 282,7°
Argument perihelia: 176,0°
Střední anomálie: 1,6°
Epocha: 2020 JAN 03 22:46:40
orbit plot

NeinteraktivnĂ­ graf | InteraktivnĂ­ graf

position vs time
speed and acceleration