🇳🇴 🇬🇧 🇩🇪 🇨🇿 🇫🇮

Meteor Gjøvikin yllä 2020-01-03 22:46:40 UTC

KML-tiedosto  |  Interaktiivinen kartta

Kartta näyttää meteorin suuntahavainnot. Vaaleammat viivat näyttävät suunnat havaintoasemilta meteorin ilmestyessä, ja tummemmat viivat näyttävät, missä se viimeksi nähtiin. Sininen nuoli näyttää meteorin näkyvän lennon.

static map
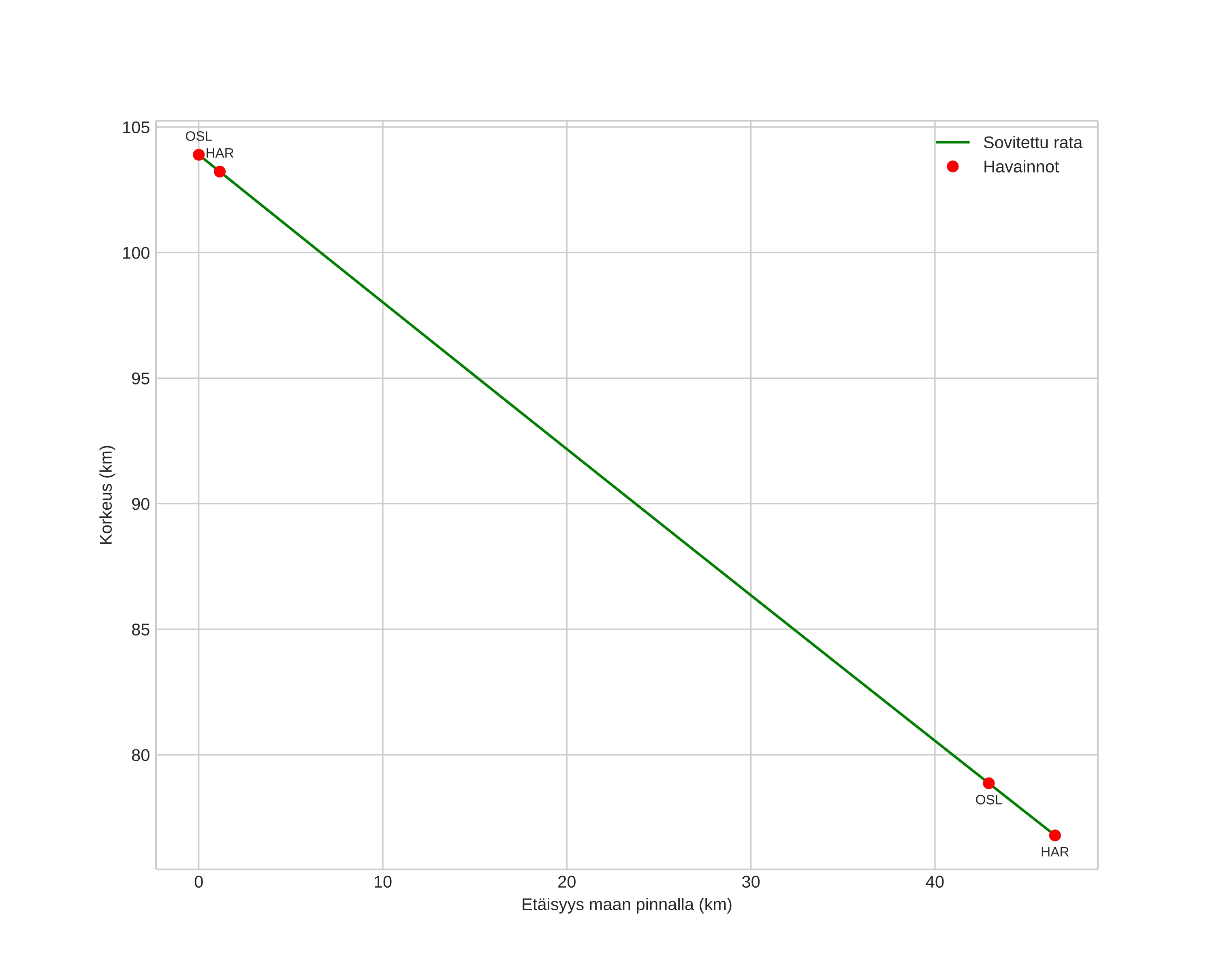
height profile
Meteorin ilmakehärata:
Alkukorkeus: 98,1 km
Loppukorkeus: 76,4 km
Alkupiste: 61,136N 11,174E
Loppupiste: 60,844N 10,760E
Suunta: 214,7°
Kallistuskulma: 28,9°
Tulonopeus: 39,2 km/s
Radiantin R,A,: 15:01 (225,3°)
Radiantin Dekl,: 49,4°
Meteoriparvi: Kvadrantidit
Meteoroidin rataelementit:
Perihelietäisyys: 0,983 AU
Eksentrisyys: 0,385
Inklinaatio: 69,2°
Nousevan solmun pituus: 282,7°
Perihelin argumentti: 176,0°
Keskianomalia: 1,6°
Epookki: 2020 JAN 03 22:46:40
orbit plot

Ei-interaktiivinen kuvaaja | Interaktiivinen kuvaaja

position vs time
speed and acceleration