🇳🇴 🇬🇧 🇩🇪 🇨🇿 🇫🇮

Meteor, poloha: Fossbergom 2020-01-04 03:21:01 UTC

Soubor KML  |  InteraktivnĂ­ mapa

Mapa zobrazuje dráhy meteoru. Světlejší čáry ukazují směry od pozorovacích stanic při objevení se meteoru a tmavší čáry, kde byl naposledy viděn. Modrá šipka značí viditelnou dráhu meteoru.

static map
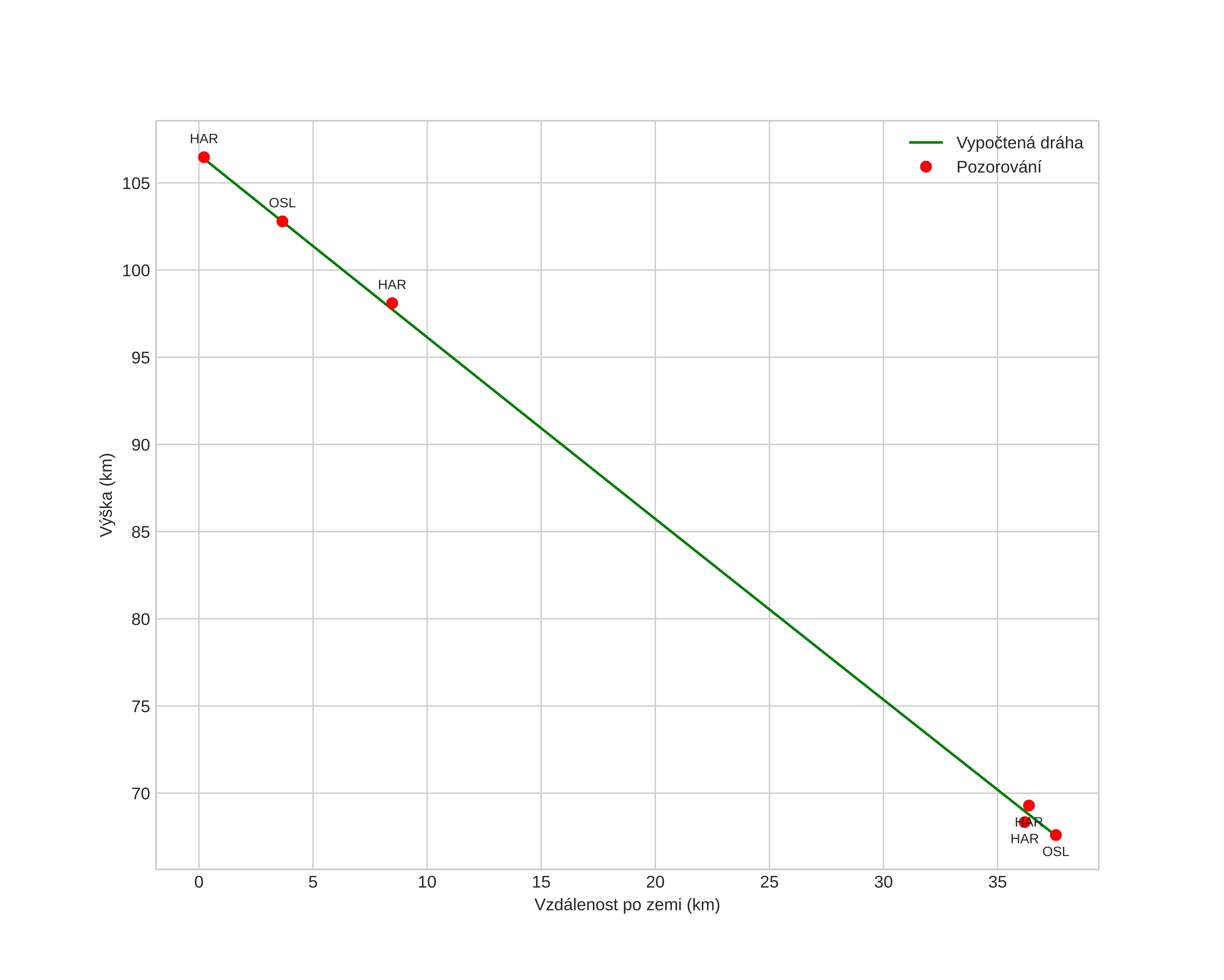
height profile
Atmosférická dráha meteoru:
Počáteční výška: 92,7 km
Konečná výška: 62,1 km
Počáteční poloha: 62,074N 9,050E
Konečná poloha: 62,042N 8,616E
Směr: 261,1°
Sklon: 53,2°
VstupnĂ­ rychlost: 46,6 km/s
Rektascenze radiantu: 15:04 (226,1°)
Deklinace radiantu: 48,5°
MeteorickĂ˝ roj: Kvadrantidy
Elementy dráhy meteoroidu:
Vzdálenost v periheliu: 0,982 AU
Excentricita: 0,823
Sklon dráhy: 77,7°
Délka vzestupného uzlu: 282,9°
Argument perihelia: 175,2°
Střední anomálie: 0,3°
Epocha: 2020 JAN 04 03:21:01
orbit plot

NeinteraktivnĂ­ graf | InteraktivnĂ­ graf

position vs time
speed and acceleration