🇳🇴 🇬🇧 🇩🇪 🇨🇿 🇫🇮

Meteor Fossbergomin yllä 2020-01-04 03:21:01 UTC

KML-tiedosto  |  Interaktiivinen kartta

Kartta näyttää meteorin suuntahavainnot. Vaaleammat viivat näyttävät suunnat havaintoasemilta meteorin ilmestyessä, ja tummemmat viivat näyttävät, missä se viimeksi nähtiin. Sininen nuoli näyttää meteorin näkyvän lennon.

static map
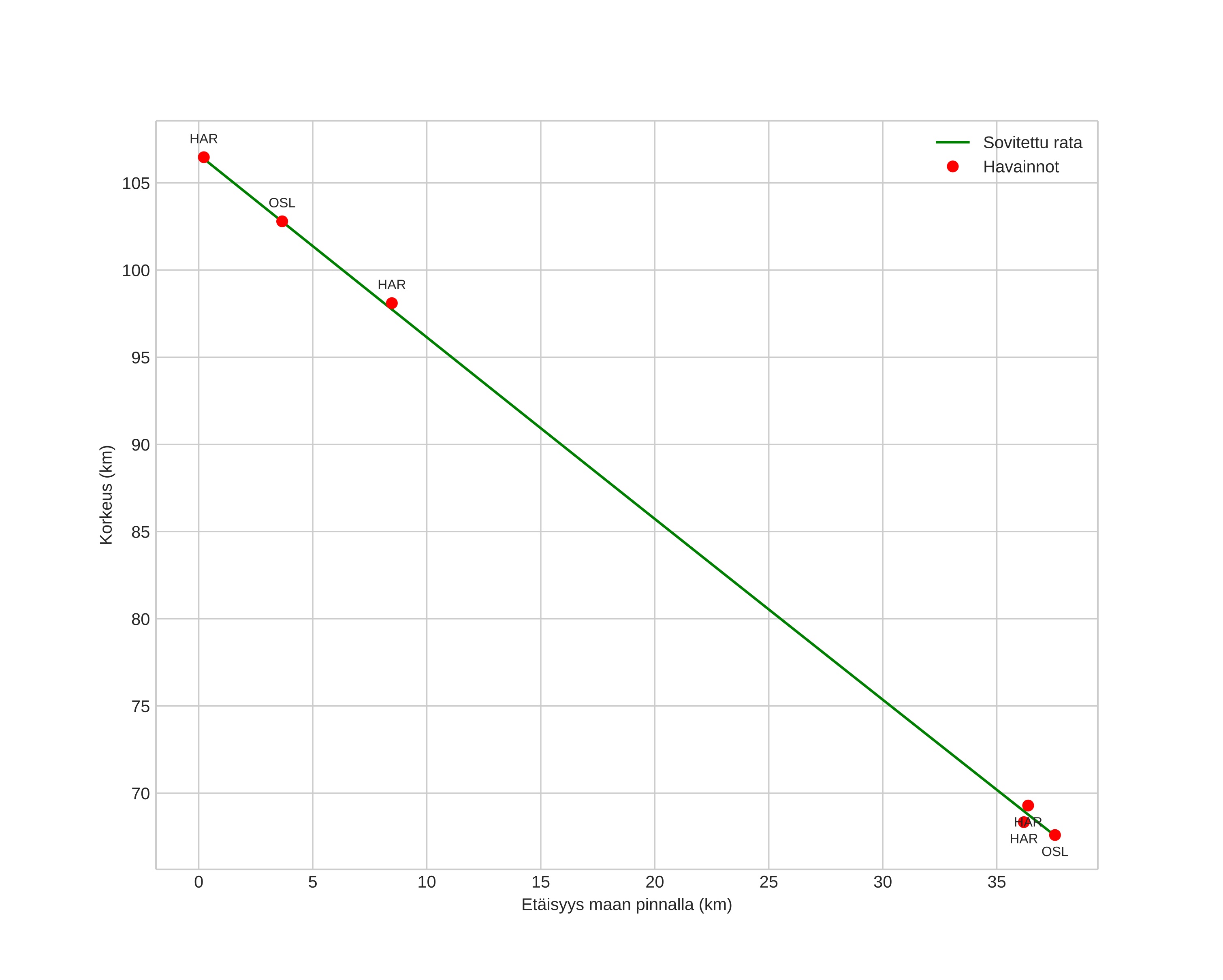
height profile
Meteorin ilmakehärata:
Alkukorkeus: 92,7 km
Loppukorkeus: 62,1 km
Alkupiste: 62,074N 9,050E
Loppupiste: 62,042N 8,616E
Suunta: 261,1°
Kallistuskulma: 53,2°
Tulonopeus: 46,6 km/s
Radiantin R,A,: 15:04 (226,1°)
Radiantin Dekl,: 48,5°
Meteoriparvi: Kvadrantidit
Meteoroidin rataelementit:
Perihelietäisyys: 0,982 AU
Eksentrisyys: 0,823
Inklinaatio: 77,7°
Nousevan solmun pituus: 282,9°
Perihelin argumentti: 175,2°
Keskianomalia: 0,3°
Epookki: 2020 JAN 04 03:21:01
orbit plot

Ei-interaktiivinen kuvaaja | Interaktiivinen kuvaaja

position vs time
speed and acceleration