🇳🇴 🇬🇧 🇩🇪 🇨🇿 🇫🇮

Meteor, poloha: Hirtshals 2020-01-04 20:17:28 UTC

Soubor KML  |  InteraktivnĂ­ mapa

Mapa zobrazuje dráhy meteoru. Světlejší čáry ukazují směry od pozorovacích stanic při objevení se meteoru a tmavší čáry, kde byl naposledy viděn. Modrá šipka značí viditelnou dráhu meteoru.

static map
height profile
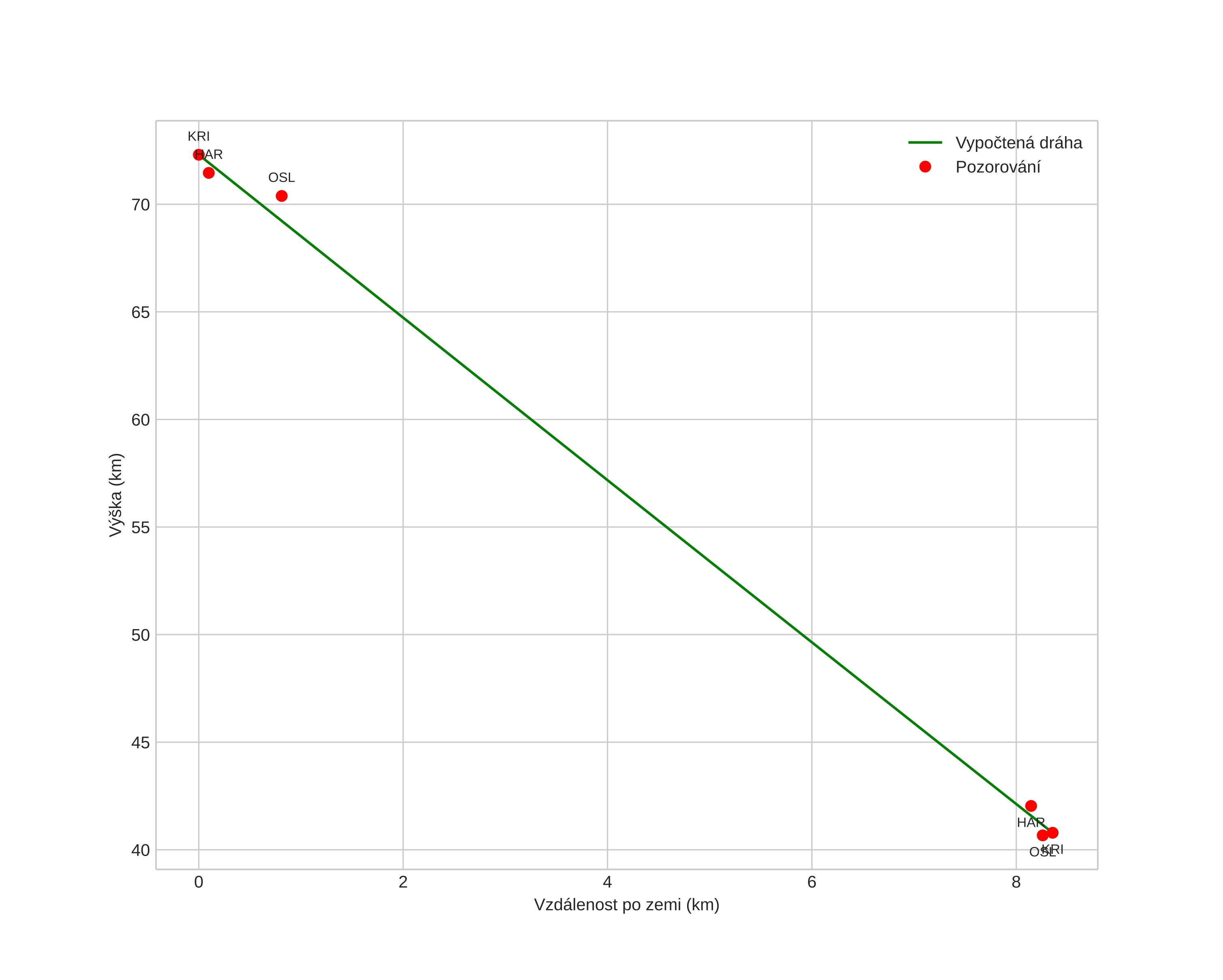
Atmosférická dráha meteoru:
Počáteční výška: 72,1 km
Konečná výška: 40,4 km
Počáteční poloha: 58,091N 9,415E
Konečná poloha: 58,055N 9,545E
Směr: 117,2°
Sklon: 74,9°
VstupnĂ­ rychlost: 16,3 km/s
Rektascenze radiantu: 01:24 (21,2°)
Deklinace radiantu: 61,2°
MeteorickĂ˝ roj: sporadickĂ˝
Elementy dráhy meteoroidu:
Vzdálenost v periheliu: 0,964 AU
Excentricita: 0,634
Sklon dráhy: 13,4°
Délka vzestupného uzlu: 283,7°
Argument perihelia: 198,1°
Střední anomálie: 356,8°
Epocha: 2020 JAN 04 20:17:28
orbit plot

NeinteraktivnĂ­ graf | InteraktivnĂ­ graf

position vs time
speed and acceleration