🇳🇴 🇬🇧 🇩🇪 🇨🇿 🇫🇮

Meteor Hirtshalsin yllä 2020-01-04 20:17:28 UTC

KML-tiedosto  |  Interaktiivinen kartta

Kartta näyttää meteorin suuntahavainnot. Vaaleammat viivat näyttävät suunnat havaintoasemilta meteorin ilmestyessä, ja tummemmat viivat näyttävät, missä se viimeksi nähtiin. Sininen nuoli näyttää meteorin näkyvän lennon.

static map
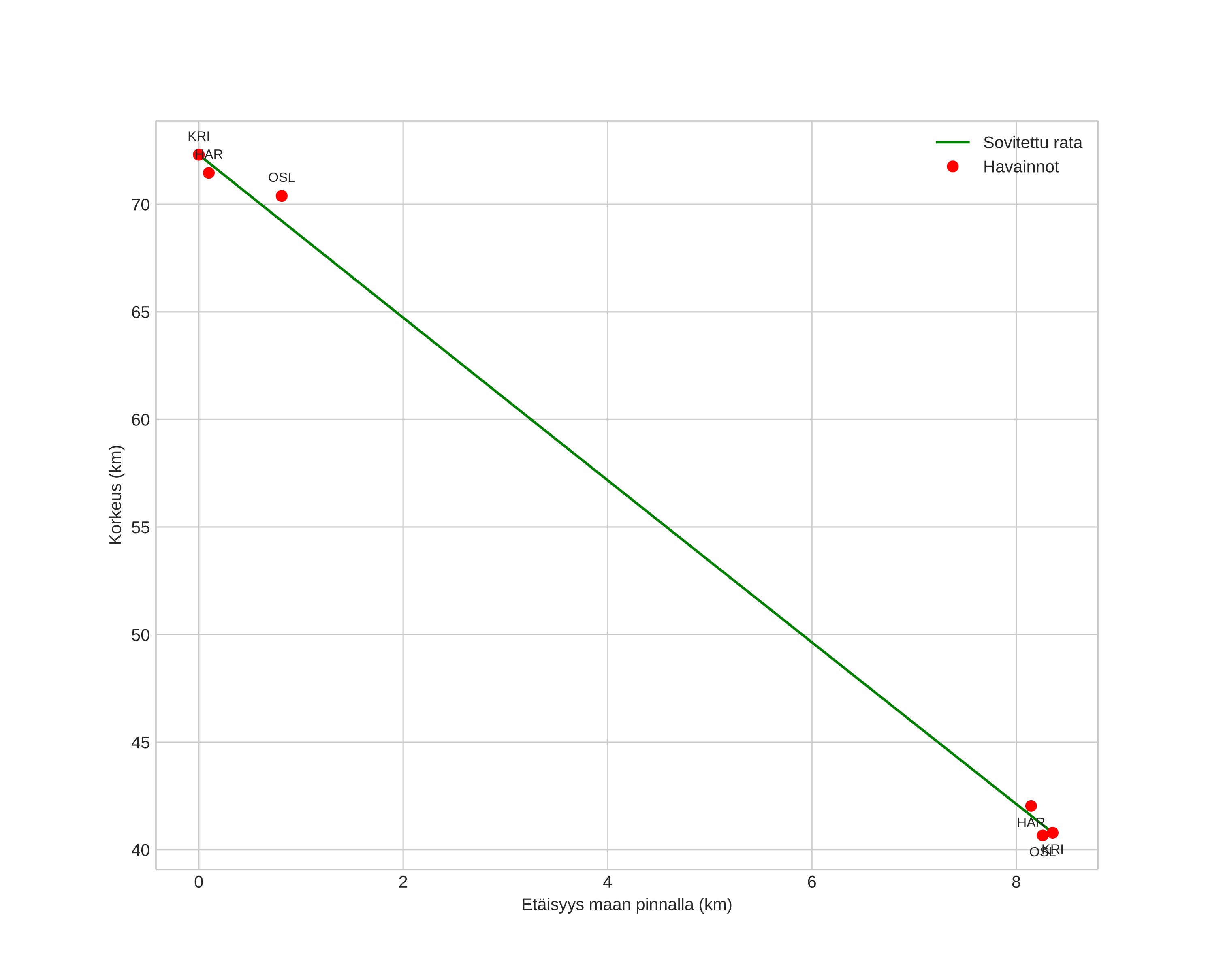
height profile
Meteorin ilmakehärata:
Alkukorkeus: 72,1 km
Loppukorkeus: 40,4 km
Alkupiste: 58,091N 9,415E
Loppupiste: 58,055N 9,545E
Suunta: 117,2°
Kallistuskulma: 74,9°
Tulonopeus: 16,3 km/s
Radiantin R,A,: 01:24 (21,2°)
Radiantin Dekl,: 61,2°
Meteoriparvi: Sporadinen
Meteoroidin rataelementit:
Perihelietäisyys: 0,964 AU
Eksentrisyys: 0,634
Inklinaatio: 13,4°
Nousevan solmun pituus: 283,7°
Perihelin argumentti: 198,1°
Keskianomalia: 356,8°
Epookki: 2020 JAN 04 20:17:28
orbit plot

Ei-interaktiivinen kuvaaja | Interaktiivinen kuvaaja

position vs time
speed and acceleration