🇳🇴 🇬🇧 🇩🇪 🇨🇿 🇫🇮

Meteor, poloha: Neskollen 2020-01-10 15:29:23 UTC

Soubor KML  |  InteraktivnĂ­ mapa

Mapa zobrazuje dráhy meteoru. Světlejší čáry ukazují směry od pozorovacích stanic při objevení se meteoru a tmavší čáry, kde byl naposledy viděn. Modrá šipka značí viditelnou dráhu meteoru.

static map
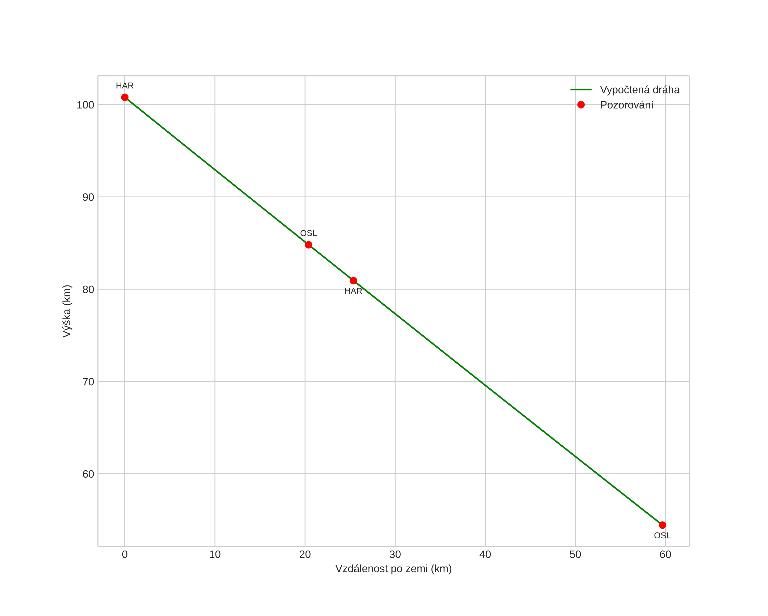
height profile
Atmosférická dráha meteoru:
Počáteční výška: 87,9 km
Konečná výška: 80,9 km
Počáteční poloha: 60,181N 11,285E
Konečná poloha: 60,248N 11,399E
Směr: 40,2°
Sklon: 35,6°
VstupnĂ­ rychlost: 17,4 km/s
Rektascenze radiantu: 21:09 (317,4°)
Deklinace radiantu: 4,0°
MeteorickĂ˝ roj: sporadickĂ˝
Elementy dráhy meteoroidu:
Vzdálenost v periheliu: 0,888 AU
Excentricita: 0,706
Sklon dráhy: 7,0°
Délka vzestupného uzlu: 289,6°
Argument perihelia: 140,0°
Střední anomálie: 5,2°
Epocha: 2020 JAN 10 15:29:23
orbit plot

NeinteraktivnĂ­ graf | InteraktivnĂ­ graf

position vs time
speed and acceleration